האיגוד הישראלי לרפואת משפחה

אתיל גלוקורוניד - Ethyl glucuronide

מתוך ויקירפואה

     מדריך בדיקות מעבדה      
אתיל גלוקורוניד
Ethyl glucuronide
250 פיקסלים
המבנה של אתיל גלוקורוניד
מעבדה כימיה בשתן
תחום סקירת נבדקים לצריכת-יתר לאלכוהול.
Covers bdikot.jpg
 
טווח ערכים תקין שלילי. סקירה בריכוז cutoff של 500 ננוגרם/מ"ל.
יוצר הערך פרופ' בן-עמי סלע

הפיזיולוגיה של EtG

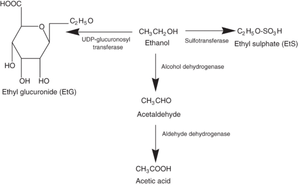
תהליך זה מאפשר שימוש ברמות cutoff שונות לזיהוי של צריכת אלכוהול. בארצות הברית, מעבדות מסחריות רבות עושות שימוש ב-cutoff של 500 ננוגרם/מ"ל אתנול בשתן לזיהוי חשיפה לאתנול. קיים מידע מועט באשר ליכולת של EtG לגלות שתייה קלה לעומת שתייה כבדה באלה המקבלים טיפול כנגד צריכת אלכוהול. המחקר של Leickly וחב' בחן cutoffs של שתייה קלה (100-200 ננוגרם/מ"ל שתן, לעומת שתייה מתונה (500 ננוגרם/מ"ל) לזיהוי שתיינים כבדים לעומת שתיינים קלים עד 5 ימים לאחר מעשה בנבדקים במרפאות חוץ המכורים לשתייה. Ethyl glucoronide (להלן EG) הוא מטבוליט ישיר של אתנול שנוצר על ידי קוניוגציה אנזימטית של אתנול עם חומצה גלוקורונית. אלכוהול בשתן מתגלה באופן נורמלי רק למשך שעות אחדות, בעוד ש-EG יכול להתגלות בשתן למשך 1–3 מים. פרוצדורה זו עושה שימוש בריאגנטים של immunoassay המתוכננות להביא לתוצאה שלילית כאשר אין תרופות הנמצאות בדגימה טבעית של שתן, וה-essay מתוכנן להיות בעל שיעור שלילי גבוה. בדומה לכל immunoessays יכולה להתקבל תוצאה חיובית כזובה (false positive) כתוצאה מתגובה עם כימיקלים טבעיים ותכשירים שונים מאלה אותם הם אמורים לגלות.

סך של 121 מבוגרים עם מפגעי צריכת אלכוהול מלווים במפגעים פסיכיאטריים נכללו בניסוי. משתתפי הניסוי סיפקו נתונים של צריכת האלכוהול שלהם, ודגימות שתן 3 פעמים בשבוע (סך הכול 2,761 דגימות). כאשר ערך ה-cutoff נקבע כ-100 ננוגרם/מ"ל שתן, נמצאו מעל 76% שתיינים קלים במהלך יומיים, ו-66% במהלך של 5 ימים. ה-cutoff של 100 ננוגרם/מ"ל זיהה 84% מבין השתיינים הכבדים לאחר יום, ו-79% שתיינים כבדים לאחר 5 ימים מהשתייה הכבדה. כאשר ערך ה-cutoff נקבע כ־200 ננוגרם/מ"ל, התגלו מעל 55% של שתיינים קלים לאחר 5 ימים, ומעל 66% של שתיינים כבדים לאחר 5 ימים. בערך של 500 ננוגרם/מ"ל, cutoff זה זיהה 68% של שתיינים קלים, ו-78% של שתיינים כבדים לאחר יום, וזיהה פחות מ-58% לאחר שתייה קלה של 2–5 ימים, ושתייה כבדה בפחות מ-71%, וירידה בזיהוי לאחר מכן. בהשוואה ל-cutoffs של 100 ננוגרם/מ"ל, של 200 ננוגרם/מ"ל, ושל 500 ננוגרם/מ"ל, cutoffs היו פחות צפויים להתייצג כ-false positives. מסקנת הניסוי הייתה שב-cutoff של EtG של 100 ננוגרם/מ"ל, מזהה שתייה כבדה עד 5 ימים מהמעשה, וכל שתייה אחרת במהלך 2 הימים הראשונים. לעומת זאת, cutoffs שמעל 500 ננוגרם/מ"ל, צפויים רק לזהות שתייה כבדה ביום שלפני הבדיקה. במחקר שעסק בשימוש לא חוקי באלכוהול, נבדקה רמת אתנול בשתן יומיים ומעלה לאחר צריכתו על מנת לבדוק את אמינות העדות העצמית בדבר כמות השתייה (Donovan וחב' ב-Addiction משנת 2012, ו-Jatlow ו-O'Malley ב־Alcohol Clin Exp Res משנת 2010). מספר סמנים של אלכוהול המתגלים בשתן זמינים לסייע בדיווח העצמי (Litten וחב' באותו כתב-עת מאותה שנה). מספר מחקרים גילו שכאשר EtG עובר בשתן, תרכובת זו שהוא מטבוליט הפטי מינורי לא-מחמצן של אתנול (Wurst וחב' ב-Alcohol משנת 2003), יכול לסייע בגילוי אתנול בשתן עד 5 ימים לאחר צריכתו, בהתאם לכמות השתייה (Jatlow וחב' ב־Alcohol Clin Exp Res משנת 2014 ו-Lowe וחב' ב Alcohol Clin Exp Res משנת 2015). מחקר אחד הראה שערכה מסחרית למדידת immunoassay של EtG המיוצרת על ידי Diagnostic Reagents Incorporated, Sunnyvale, CA, עשויה להתבצע בדיוק רב תוך 20 דקות תוך שימוש באנלייזר Indiko של חברת ThermoFisher, Fremont, CA, המניבה תוצאות חצי כמותיות של EtG בשתן (Leickly וחב' ב־Am J Drug Alcohol Abuse משנת 2015).

אי מציאות של שתייה כבדה מאושרת על ידי ה-FDA משנת 2015 כנקודת-קצה בהערכת טיפולים פרמקולוגיים חדשים למניעת מפגעי אלכוהול. שתייה כבדה מוגדרת כצריכת מעל 3 שתיות סטנדרטיות בנשים, ומעל 4 שתיות סטנדרטיות בגברים. מכשירים של דיווח עצמי כגון Alcohol Timeline FollowBack (להלן TLFB) נמצאים בשימוש של מחקר קליני להחלטה האם התבצעה שתייה קלה או כבדה (Sobell ב-Am Psychiat Assoc משנת 2000). עם זאת, התוקף של דיווח עצמי של צריכת אלכוהול שונה (Babor וחב' ב-J Stud Alcohol משנת 2000, ו-Del Boca ו-Noll ב-Addiction משנת 2000) בייחוד כאשר המגיבים נמנעים מטיפול סוציאלי או מענישה חוקית בגלל השתייה המופרזת (Langenbucher ו-Merrill ב-Eval Rev משנת 2001). במחקר על צריכה לא חוקית של אלכוהול,

המטבוליזם של ethyl glucoronide.

במחקר המדובר השתתפו 121 מבוגרים המאובחנים עם תלות באלכוהול, כאשר 72% מתוכם היו עם מפגעים נשנים, ו-28% מתוכם עם מפגעים פסיכוטיים. הגיל הממוצע היה 46.9 שנה, ו-65% מהמשתתפים היו גברים. מבחינה אתנית, 52% היו לבנים, 28% היו אפרו-אמריקאים, 10% היספנים, 3% אסקימואים, 2% אסיאתיים, ו-5% בעלי רקע אתני מעורב. המשתתפים דיווחו על שתיית אלכוהול ב-15.8 ימים מתוך 30 הימים האחרונים. בניסוי, משתתפיו החלו מסלול של 4 שבועות של קדם-רנדומיזציה, בו הם פוצו על מתן דגימות שתן ומילוי שאלון על רמת הצריכה שלהם. אלה שהשלימו פאזה זו, החלו באופן אקראי מסלול של 12 שבועות של התנהלות בה הם סיפקו נתונים ודגימות שתן שהתקבלו שליליים לצריכת אלכוהול במדידת EtG-1, כאשר קבוצה אחרת סיפקו דגימות שתן ללא קשר לתוצאת EtG-1. משתתפי הניסוי קיבלו טיפול למניעת התמכרות במרכז בסיאטל. דגימות שתן, ודיווחים עצמי על צריכת אלכוהול נאספו, 3 פעמים בשבוע, לתקופה של 16 שבועות. סך הכול התקבלו ממשתתפי הניסוי 52 דגימות שתן לביצוע מדידת EtG-1, ומדידות אלו בוצעו בסך של 2,761 דגימות.

מדידות EtG התבצעו במרפאת ההתמכרות תוך שימוש בשיטה ספקטרופוטומטרית על אנלייזר ThermoFisher Indiko של חברת Fremont. מדידות של EtG בוצעו על ידי enzyme immunoassay תוך שימוש ב-cutoffs של 100 ננוגרם/מ"ל, 500 ננוגרם/מ"ל, 1,000 ננוגרם/מ"ל, ו-2,000 ננוגרם/מ"ל, כאשר קליברטורים שליליים ו-EtG היו 100 ננוגרם/מ"ל ו-375 ננוגרם/מ"ל כביקורת, כאשר האנלייזר עבר קליברציה אחת לשבוע. הדגימות נבדקו ביום מתן השתן, ואוחסנו בקירור עם כל הקליברטורים, ביקורות וריאגנטים. ה-immunoassay ליניארי עד 2,000 ננוגרם/מ"ל. משתתפי הניסוי התבקשו להימנע מצריכת משקאות שהם מקור לאתנול. דיווחים עצמיים על מועד השתייה האחרונה של אלכוהול (עד 120 שעות או חמישה ימים) ושתייה סטנדרטית נקבעו כמספרים שלמים והמשכיים כאשר דגימות השתן נלקחו. נתונים אלה הוכנסו כקטגוריות של אי-שתייה, של שתייה קלה (פחות מ-3 שתיות סטנדרטיות בנשים, או פחות מ-4 שתיות סטנדרטיות בגברים) או כשתייה כבדה (למעלה מ-3 שתיות סטנדרטיות בנשים, או למעלה מ-4 שתיות סטנדרטיות בגברים) בפרק זמן של של 1–5 ימים.

השוואת מדידת EtG בשתן עם מדידה בדם או ב-breath alcohol test

EtG יכול להימצא בשתן זמן הרבה יותר ממושך מאשר בדם או בנשימה. לאחר מספר שתיות, EtG יכול להימצא בשתן עד 48 שעות ולעיתים עד 72 שעות או אף יותר מכך אם השתייה כבדה יותר. האם יכולה הכמות של EtG לתת הערכה כמה אלכוהול צרך הנבדק (מספר השתיות)? לא בהכרח. בה בשעה שרמות גבוהות יותר של EtG יכולות להצביע על כמויות גדולות יותר של אלכוהול שנצרכו, המספר המדויק של שתייה מושפע ממספר גורמים כגון הזמן בו התבצעה השתייה לפני הבדיקה. ככל שפרק הזמן שחלף מאז השתייה ארוך יותר, רמת EtG נמוכה יותר, בנוסף, מספר שתיינים יכולים לתרגם יותר אלכוהול ל-EtG מאשר שתיינים אחרים, ולהפריש אותו בשתן מהר יותר. לבסוף, ישנה כמות מקסימלית של EtG שיכולה להימדד, כך ששתייה מעבר למגבלה עלולה לא לבוא לביטוי מאשר כמות המקסימלית (ceiling effect). מדידת EtG נותנת הערכה ש מדידת "כל כמות" אך אינה טובה להערכת שתייה כבדה. אם ברצוננו לגלות שתיינוּת כבדה יש לשקול מדידת CDT%. המשמעות של בדיקת CDT או carbohydrate-deficient transferrin היא שבדיקה זו יכולה לספק מידע בדבר כמות האלכוהול שהנבדק צרך בעבר.

דווח על רמות EtG בשני ערכי cutoff, של 100 ננוגרם/מ"ל ו-500 ננוגרם/מ"ל

הדבר נעשה לספק מידע מקסימלי על איזה בסיס מתבצעת החלטה קלינית מבוססת. EtG יכול להתגלות על ידי מערכת הבדיקה שלנו, גם ברמות של מתחת ל-100 ננוגרם/מ"ל, אך כיוון שאנו מבקשים לבנות "שוליים של בטיחות" באופן שברמת 100 ננוגרם/מ"ל אנו מאוד בטוחים שבמציאות של EtG, נצרכה כמות קטנה מאוד של אלכוהול. עם זאת, היו מספר דיווחים בספרות שמקורות אחרים (נוזל לשטיפת הפה, ונוזל לחיטוי ידיים) יכולים להביא לרמות EtG של 100 ננוגרם/מ"ל להתגלות בשתן. עם זאת, אף על פי שאלה מקרים נדירים, במקרים אלה כאשר רמת אי-ביטחון גבוהה יותר נדרשת (כמו במעמדים פורנזיים), הקלינאי עשוי לעשות שימוש ב-cutoff של 599 ננוגרם/מ"ל. תוצאות ניסוי זה היו כדלקמן: שתייה כבדה במהלך 5 ימים לפני המדידה נמצאה ב-29% מהמדידות, בעוד ששתייה קלה נמצאה ב-17% מהמדידות. המספר הממוצע של שתיות סטנדרטיות במהלך אפיזודת השתייה היה 3.7. תוצאות EtG-1 היו חיוביות ב-48% מהדגימות ב-cutoff של 100 ננוגרם/מ"ל, 37% מהדגימות ב-cutoff של 200 ננוגרם/מ"ל, ו-31% מהדגימות ב-cutoff של 500 ננוגרם/מ"ל. הערך הממוצע של EtG-1 נקבע כ-596.7 ננוגרם/מ"ל.

cutoff של 100 ננוגרם/מ"ל נמצא בעל השיעור הגבוה ביותר של זיהוי שתייה קלה וכבדה במהלך 5 ימים של הערכה. ה-cutoff של 100 ננוגרם/מ"ל זיהה 85% מהשתייה הקלה במהלך יום אחד, עם שיעורים של זיהוי שתייה קלה הפוחתים ל-66% במהלך 5 ימים. ה-cutoff של 100 ננוגרם/מ"ל זיהה 84% של שתייה כבדה במהלך יום אחד, ו-79% של שתייה כבדה במהלך 5 ימים. Cutoff של 200 ננוגרם/מ"ל זיהה 77% ו-81% של שתייה כבדה במהלך יום אחד, וירידה בזיהוי בימים שלאחר מכן. Cutoff של 500 ננוגרם/מ"ל זיהה 68% של שתייה קלה במהלך יום אחד, ופחות מ-58% במהלך 2-5 ימים. Cutoff של 500 ננוגרם/מ"ל, זיהה 78% משתייה כבדה במהלך יום אחד, פחות מ-71% משתייה כבדה במהלך 2–5 ימים. תוצאות ניסוי זה מצביעות על cutoff של EtG-1 של 100 ננוגרם/מ"ל הוא היעיל ביותר לזיהוי שתייה כבדה במהלך 5 ימים. לעומת זאת, cutoff של 500 ננוגרם/מ"ל המשמש מעבדות רבות, נמצא בעל רמות נמוכות של זיהוי שתייה כבדה במהלך של יותר מיום אחד (Stewart וחב' ב-Alcohol Clinical & Experimental Resarcn משנת 2013, ו-Wurst וחב' ב-Alcohol משנת 2003). חשיבות EtG היא בהיותו סמן ביולוגי לבחון צריכת אתנול ולנטר הימנעות מצריכה זו במצבי איסור צריכה כגון בשירות הצבאי, טייסים בחברות תעופה, אנשי רפואה, עורכי דין, מורים ותלמידים, בקליניקות של השתלת כבד, או בניטר של כאלה הנגמלים משתייה (Lande ו-Marin ב-Journal of Addiction משנת 2009, ו-חב' ב-Journal of Analytical Toxicology משנת 2009). בנוסף לשימוש שלו בניטור הימנעות משתייה וגילוי שתייה, EtG הוא בעל פוטנציאל של ניטור כמות האלכוהול שנצרכה לאורך זמן, כיוון שניתן למודדו בשיער ובציפורנים, אם כי היעילות של מדידות אחרונת אלו לא הוכחה (Wurst וחב' ב-Addiction משנת 2003, ו-Palmer ב-Seminars in Diagnostic Pathology משנת 2009). אחד הפגמים בשיטה זו היא בכך שבגלל היות EtG רגיש ביותר למדידת צריכת אלכוהול בריכוזים נמוכים ביותר, ניתן לקבל תוצאות חיוביות-כזובות רבות במקרים שהחשיפה לאלכוהול לא מגיעה משתייה שלו אלא אפילו מהרחה של אלכוהול משהות במחיצת שתיין (Rosano ו-Lin ב-Journal of Analytical Toxicology משנת 2008).

המחלוקת סביב מדידת EtG בשיער

מספר הגדול של מחקרים דנים ברגישות ובספציפיות הגבוהים של מדידת שיער או ציפורניים לרמת EtG לזיהוי שתייה כבדה (Kharbouche וחב' ב-International Journal of Legal Medicine משנת 2012, Politi וחב' ב-Addition משנת 2006, Morini וחב' ב-Addiction משנת 2009, ו-Boscolo-Berto וחב' ב-Therapeutic Drug Monitoring משנת 2014). מדידת EtG בשיער נוסתה בעבר במעבדות בבריטניה, אך הבדיקה לקתה ממספר תביעות משפטיות. בגלל החשש מסיכון משפטי, מספר מעבדות הפסיקו לבצע בדיקה זו שנאמר עליה שהיא אינה אמינה (The Barrister). החברה לבדיקות שיער (SOHT) גם כן דיווחה על מגבלות הבדיקה וקבעה שבדיקה זו יכולה להעריך צריכה כרונית של עודף אלכוהול. שיטת בדיקת EtG בשיער אינה יישומית למקרים של גמילה מצריכת אלכוהול או למקרים של שתייה מתונה של אלכוהול. לפיכך, ה-SOHT אינו ממליץ על מדידת EtG בשיער. גם החברה האמריקנית למניעת צריכת חומרים אסורים מזהירה מפני מדידת EtG בשיער שאינה נתמכת למרות רגישותה הרבה כיוון שאינה מבדילה בין אלכוהול שנספג בגוף כתוצאה מחשיפה לחומרים מסחריים רבים המכילים אתנול לבין צריכה אמיתית של אלכוהול (דו"ח שהתפרסם בשנת 2006 ב-Wayback Machine).

אינטרפרטציה

מדידה זו מספקת מידע אנליטי פרלימינרי. שיטה חלופית יותר ספציפית כגון LC tandem MS, חייבת להתבצע כדי להשיג תוצאה אנליטית מאושרת. תוצאה חיובית בשיטת EtG מצביעה בלבד על הפוטנציאל של מציאות EtG אך אינה בהכרח תואמת את ההשפעות הפיזיולוגיות והפסיכולוגיות של צריכת אלכוהול (Schmitt וחב' ב־J Anal Toxicol משנת 1995, Zimmer וחב' באותו כתב עת משנת 2002, Weunmann וחב' ב־J Am Soc Mass Spectrom משנת 2004).

מדידות סרולוגיות אקספירמנטליות אחרות גילוי שתיית אלכוהול שעושות שימוש ב-hydroxytryptophol‏5, אתיל סולפאט, פוספטידיל אתנול, רמות חומצה סיאלית, β-hexosaminidase, רמות AST במיטוכונדריה, ומטבוליטים של אלכוהול דוגמת אצטאלדהיד של אריתרוציטים ואצטאלדהיד בכבד.

הוראות לביצוע הבדיקה

יש לדגום שתן חד-פעמי אקראי ללא חומרים משמרים. שיטת הבדיקה: Immunoassay.

יציבות דגימות השתן: דגימה מקוררת (מועדפת) יציבה למשל 28 יום, דגימה קפואה יציבה למשך 28 יום, ודגימת שתן בטמפרטורת החדר יציבה עד 72 שעות.

ראו גם