ויטמין - Vitamin - B5
| מדריך בדיקות מעבדה | |
| ויטמין B5 | |
|---|---|
| Vitamin B5 | |
| שמות אחרים | pantothenic acid 3-[(2R)-2,4-Dihydroxy-3,3-dimethylbutanamido]propanoic acid.
|
| |
חומצה פנטותנית (משקל מולקולארי 219.4)
הנוסחה האמפירית של ויטמין B5 היא C9H17NO5 | |
| מעבדה | כימיה בדם |
| טווח ערכים תקין | מבוגרים מעל גיל 10 שנים: 37-147 מיקרוגרם/מ"ל; תינוקות עד גיל 1 שנה:3.5-825 מיקרוגרם/מ"ל; ילדים בגיל 1-10 שנים: 3.5-230 מיקרוגרם/מ"ל. |
| יוצר הערך | פרופ' בן-עמי סלע |
לערכים נוספים הקשורים לנושא זה, ראו את דף הפירושים – ויטמין B
חומצה פנטותנית
חומצה פנטותנית התגלתה בשנת 1933 על ידי Roger Williams תוך עבודתו על גידול שמרים. חומצה פנטותנית היא ויטמין מסיס מים. לחיות רבות ויטמין זה הוא חומר מזון הכרחי שכן חומצה פנטותנית חיונית לסינתזה של קו-אנזים A או CoA, כמו גם לסינתזה ולמטבוליזם של חלבונים, סוכרים ושומנים. חומצה פנטותנית היא ה-amide בין חומצה pantoic ו-β-alanine. כמויות קטנות של חומצה זו נמצאות כמעט בכל סוג מזון, עם כמויות גבוהות יחסית באבוקדו, דגנים של חיטה מלאה, בשר, קטניות, ביצים ויוגורט. בדרך כלל מוצאים את החומצה הפנטותנית בצורת האנלוג האלכוהולי הידוע כ- provitamin panthenol (ובקצרה pantothenol ), כמו גם כ-calcium pantothenate. חומצה פנטותנית מהווה מרכיב בתכשירי סבון, שמפו ודטרגנטים לשמירה על בריאות העור והשיער.
כמויות קטנות של חומצה פנטותנית נמצאות ברוב סוגי המזון, כאשר בשר מהווה מקור עיקרי לוויטמין זה. חומצה פנטותנית זמינה במגוון סוגי מזון בעיקר כמרכיב של קואנזים-A ושל phosphopantetheine-'4, ולאחר בליעת המזון שתי תרכובות אלו עוברות הידרוליזה לקבלת חומצה פנטותנית חופשית לפני ספיגתה בתאי המעי (Trumbo בסקירה משנת 2006). הקפאה או עיבוד או שימור המזון עלול לגרום לאיבוד חלקי של פעילות הוויטמין.
כמות החומצה הפנטותנית שנמצאת ברקמת השריר של האדם, גדולה פי-2 מזו שמוצאים בבעלי חיים (Williams מגלה החומצה הזו בזיכרונותיו משנות ה-50). דגנים מלאים הם מקור טוב נוסף של ויטמין זה, אך בתהליך הטחינה חלק גדול שלו אובד, בהיותו מרוכז בעיקר בקליפת הדגנים. ירקות, כגון אבוקדו וברוקולי גם כן עשירות יחסית בוויטמין (Otten וחב' משנת 2008 ב-Essential guide for nutrient requirements), כאשר מסקירתו של Combs משנת 2008 ב-The Vitamins: Fundamental Aspects in Nutrition and Health, משתמע שהמקורות העשירים ביותר בטבע של חומצה פנטותנית הם שחלות דגים ומזון מלכות (royal gelly). גם שמרים עשירים בחומצה פנטותנית.
תפקידים ביולוגיים של ויטמין B5
רק איזומר D של חומצה פנטותנית הוא בעל פעילות ביולוגית, ואילו איזומר L אף מסוגל לנטרל ולהיות אנטגוניסט של השפעות איזומר D כפי שמצאו Kimura וחב' במטבוליזם של ליפידים ופרסמו בשנת 1980 ב-J Nutr Sci Vitaminol. חומצה פנטותנית משמשת לסינתזה של coenzyme A, כאשר האחרון יכול לשמש כנשא של שייר acyl ליצירה של acetyl-Co A ושל תרכובות דומות, כאשר זו הדרך לטרנספורט של אטומי פחמן בתוך התא (Voet וחב' משנת 2006 ב-: Life at the Molecular Level, 2nd ed. Hoboken, NJ: John Wiley & Sons, Inc., ו-Martinez וחב' ב-Biochem Soc Trans משנת 2014). קואנזים A חיוני במטבוליזם האנרגיה המאפשרת כניסת פירובט למעגל החומצה התלת-קרבוקסילית (TCA cycle) כצורת אצטיל-קוA , ומאפשרת לחומצה α-קטוגלוטרית להיות מותמרת ל-succinyl-CoA במעגל זה (Gropper וחב' בAdvanced nutrition and human metabolism משנת 2009). קואנזים A חיוני כמו כן לביוסינתזה של תרכובות חשובות כמו חומצות שומן, כולסטרול ואצטילכולין. קואנזים A נדרש גם כן ליצירת ACP או acyl carrier protein, הנדרש לסינתזה של חומצות שומן בנוסף ל-CoA (על פי Sweetman ב- Pantothenic Acid. Encyclopedia of Dietary Nutrients, משנת 2005). חומצה פנטותנית בצורת CoA נחוצה גם לריאקציות אצילציה ואצטילציה, הכרוכות בהעברת איתותים ושפעול או שיכוך פעילות אנזימים , בהתאמה. כיוון שחומצה פנטותנית משתתפת במגוון רחב של פעילויות מפתח ביולוגיות , היא חיונית לכל צורות החיים, ובתור שכזו חסר שלה עלול להיות בעל השפעות מזיקות.
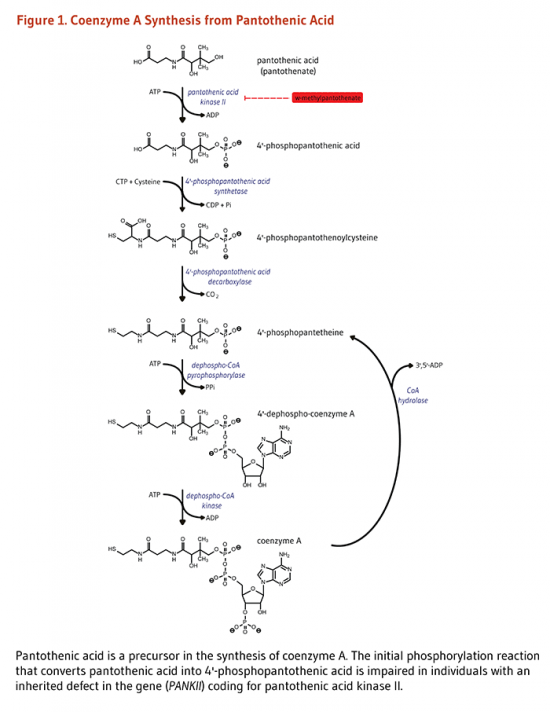
האנזים PANKII או pantothenic acid kinase II מקטלז את השלב הראשון בפוספורילציה של חומצה פנטותנית ליצירת phosphopantothenic acid-'4. קואנזים-A ונגזריו מעכבים את הסינתזה של phosphopantothenic-'4 , אך עיכוב זה יכול להתבטל על ידי carnitine, הנדרש להחדרת חומצות שומן לתוך המיטוכונדריה. ריאקציות המשך במסלול הביוסינטתי כוללות את הסינתזה של תוצר הביניים phosphopantetheine-'4, כמו גם מחזוּר של קואנזים-A לקבלת phosphopantetheine-'4 (תמונה מס' 1).
שלב ה-phosphopantetheinylation-'4
קומפלקסים מולטי-אנזימטיים ספציפיים הנחוצים כדי להשתתף בראקציות מטבוליות אחדות, מחייבים קישור קו-ולנטי של "זרוע" phosphopantetheine-'4 לחלבונים. ביונקים, הטרנספר של שייר ה-phosphopantetheinyl-'4 מקואנזים-A לשיירי ליזין לצורך אצטילציה שלהם, מקוטלז על ידי האנזים phosphopantetheinyl transferase, שלב שנחוץ להפיכת apo-אנזימים ל-Holo-אנזימים פעילים (Choudhary וחב' ב- Nat Rev Mol Cell Biol משנת 2014, ו-Beld וחב' ב-Nat Prod Rep משנת 2014).
ויטמין B5 ו-acyl carrier proteins (להלן ACP)
ליפידים הם מולקולות שומניות החיוניות לתפקוד פיזיולוגי והם כוללים בין היתר חומצות שומניות חופשיות (FFA). האנזים FAS או fatty acid synthase הוא קומפלקס של אנזימים אחדים המקטלזים את הסינתזה של FFA. בתוך קומפלקס FAS, ה-ACP דורש חומצה פנטותנית בצורת phosphopantetheine-'4 לפעילותו (תמונה 2). אצטיל-קו-A, מלוניל-קו-A ו-ACP, כולם נדרשים לסינתזה של חומצות שומן בציטוזול. במהלך הסינתזה של FFA, שיירי ה-acyl של אצטיל-קו-A ושל מלוניל-קו-A מועברים לשיירי סולפהידריל (SH-) של מרכיב ה-phosphopantetheinyl 4'- של ACP. במיטוכונדריה, phosphopanteteine-'4 משמש גם כקבוצה פרוסטתית להומולוג של ACP בקומפלקס type II FAS במיטוכונדריה (Bunkoczi וחב' ב-Chem Biol משנת 2007).
האנזים 10-formyltetrahydrofolate dehydrogenase או FDH
אנזים זה מקטלז את ההמרה של formyltetrahydrofolate-10 ל- tetrahydrofolate שהוא קו-פקטור חשוב במטבוליזם של חומצות גרעין ושל חומצות אמינו. בדומה ל-ACP, גם FDH דורש קבוצה פרוסטתית דוגמת phosphopantetheine-'4 לפעילותו הביולוגית. קבוצה פרוסטתית זו פועלת כזרוע מבצעת לאחד את הפעילויות של 2 המקטעים הקטליטיים שלFDH (Donato וחב' ב-J Biol Chem משנת 2007, ו-Strickland וחב' משנת 2100). הומולוג של FDH הנמצא במיטוכונדריה דורש גם כן phosphopantetheinylation-'4 לצורך פעילותו הביולוגית (Strickland וחב' ב-Chem Biol Interact משנת 2011). תמונה 3 למטה:
האנזים α-Aminoadipate semialdehyde synthase
ריאקציית phosphopantetheinylation-'4 נדרשת לפעילות הביולוגית של האנזים AASS או apo-enzyme α-aminoadipate semialdehyde synthase. האנזים AASS מקטלז את הריאקציות ההתחלתיות במסלול המיטוכונדריאלי של פירוק ליזין, חומצת אמינו הכרחית באדם. האנזים AASS בנוי מ-2 מקטעים קטליטיים: המקטע lysine-ketoglutarate reductase מקטלז תחילה את ההמרה של ליזין ל-saccharopine. לאחר מכן saccharopine מומר ל- α-aminoadipate semialdehyde, בריאקציה המקוטלזת על ידי המקטע saccharopine dehydrogenase (תמונה 4 למטה):
בנוסף לתפקיד שמשחק ויטמין B5 בפירוק שומנים ופחמימות ליצירת אנרגיה, יש לו גם תפקיד חיוני ביצירת כדוריות אדומות, כמו גם ליצירתם של הורמוני מין והורמוני-עקה (stress), המיוצרים בבלוטת האדרנל. ויטמין B5 חשוב לתפקוד מערכת העיכול, ומסייע לגוף לנצל ויטמינים אחרים (בעיקר ויטמין B2). לעתים מכנים אותו "anti-stress vitamin", אם כי אין ראיות מוצקות שהוא אמנם מסייע לגוף במצבי עקה. כאמור חומצה פנטותנית חיונית ליצירת כולסטרול, למרות שהנגזרת של חומצה פנטותנית הידועה כ-pantethine נחקרת באשר ליכולתה להפחית רמות LDL.
השפעות היפוליפידמיות של חומצה פנטותנית
נגזרי חומצה פנטותנית, כמו panthenol, pantethine ו-phosphopantetheine--'4 נמצאו בעלי יכולת לשפר את פרופיל השומנים בדם ובכבד (Naruta ו-Buko ב-Exp Tox Pathol משנת 2001). במודל של עכברים הזריקו חוקרים אלה 150 מיליגרם של נגזרת חומצה פנטותנית/ק"ג משקל גוף, וכל אחת משלוש הנגזרות המצוינות נמצאו מפחיתים ביעילות רמת LDL ואת רמת טריגליצרידים, כאשר panthenol הביא להפחתת רמת סך-כולסטרול. בכבד, ו-panthenol היה יעיל ביותר בהפחתת סך-כולסטרול, רמת טריגליצרידים, ורמות כולסטרול-אסטר וכולסטרול חופשי (McCarty ב- Med Hypotheses משנת 2001).
כולסטרול מוגבר
מספר מחקרים מצביעים על אפשרות שמינונים פרמקולוגיים של pantethine עשויים להיות בעלי השפעה בהפחתת רמות כולסטרול (Coronel וחב' ב-Am J Nephrol משנת 1991, ו-Gaddi וחב' ב-Atherosclerosis משנת 1984). Pantethine מורכב מ-2 מולקולות של pantetheine המחוברות על ידי קשר דיסולפידי. Pantethine דומה מבחינה מבנית לקואנזים-A, והוא מצוי בקבוצה הפרוסטתית formyltetrahydrofolate dehydrogenase הנחוצה לפעילות הביולוגית של acyl-carrier protein ושל האנזים α-aminoadipate semialdehyde synthase.
ניסוי אקראי, כפול-סמיות ומבוקר כנגד פלצבו שנמשך 16 שבועות, בו טופלו המשתתפים ב-pantethine במינון יומי של מיליגרם למשך 8 שבועות, שהומר במינון יומי של 900 מיליגרם למשך 8 השבועות הנותרים, שיפר באופן משמעותי של פרופיל השומנים ב-120 משתתפי הניסוי שהיו בסיכון נמוך עד מתון של מחלה קרדיו-וסקולארית. נמצא ש-pantethine היה משמעותית יותר יעיל מפלצבו בהפחתת רמת LDL ו-apoB, וכן בהפחתת היחס בין טריגליצרידים ל-HDL (על פי Rumberger וחב' ב-Nutr Res משנת 2011). ביפאן משמש pantethine כתכשיר להפחת כולסטרול, ומאושר לשימוש בארה"ב כתוסף מזון (hendler ו-Rorvik ב- PDR for Nutritional Supplements משנת 2008).
חסר ויטמין B5
חסר ויטמין זה נדיר במיוחד ולא נחקר באופן מיוחד. באותם מקרים בודדים בהם התגלה חסר זה (קורבנות של רעב ממושך, אלכוהוליסטים ואלה עם בעיות ספיגה יוצאות דופן), כל התסמינים המיוחסים לחסר ויטמין זה נעלמו עם טיפול משלים בחומצה פנטותנית. תסמיני חסר של ויטמין B5 דומים לאלה שמוצאים בחסר של ויטמינים אחרים קבוצת B. נוצרת פגיעה ביצירת אנרגיה, בגלל ערכים נמוכים של קואנזים-A, שיכולים ליצור תסמינים של אידשון (apathy), עייפות, אך גם נטייה לרוגז. גם יצירת אצטילכולין נפגעת מה שעלול לגרום לתסמינים נוירולוגיים. כגון התכווצות שרירים, קיהיון (numbness) וחישות מדומות (paresthesia). יש דיווחים גם על תחושת בערה ברגליים בחסר ויטמין זה.
שבויים במלחמת העולם ה-II בחזית פיליפינים, בורמה ויפאן חוו קהיון, עקצוץ ותחושת בערה ברגליים. תחושות אלה התפוגגו באופן ספציפי על ידי מתן תוספי חומצה פנטותנית . ניתן להשרות באופן ניסויי חסר של חומצה פנטותנית באדם, על ידי מתן של מעכב של האנזים pantothenic acid kinaseהידוע כ- w-methylpantothenateאו על ידי מתן דיאטה דלה בוויטמין זה. המשתתפים בניסוי זה התלוננו על כאבי ראש, עייפות, נדודי-שינה, הפרעות מעיים, קהיון ועקצוץ בידיים וברגליים (Hodges וחב' ב-J Clin Invest משנת 1958). בניסוי אחר, בו האכילו את משתתפיו בדיאטה נטולת חומצה פנטותנית , לא התלוננו המשתתפים בו על תסמינים קליניים, אם כי חלקם נראו חסרי מרץ ועייפים ( Fry וחב' ב-[ J Nutr Sci Vitaminol (Tokyo)משנת 1976]. חסר בחומצה פנטותנית עלול לגרום גם להיפוגליקמיה, או לרגישות מוגברת לאינסולין. קולטנים לאינסולין עוברים אצילציה עם חומצה פלמיטית כמנגנון של מניעת קישור אינסולין לקולטניו. לכן, כאשר יש ירידה באצילציה, יותר אינסולין יקשר לקולטניו, מה שיגרום להיפוגליקמיה. תסמינים נוספים יכולים לכלול חוסר שקט, הפרעות שינה, תשישות, בחילות, הקאות והתכווצויות מעיים. במספר מקרים נדירים, מצבים יותר חמורים-אם כי הפיכים-התגלו, כגון אי-ספיקה של האדרנל או אנצפלופתיה כבדית.
כיוון שחומצה פנטותנית נמצאת בטבע במקורות רבים והחסר שלה בבני-אדם נדיר במיוחד, רוב המידע על על תוצאות חסר בוויטמין מגיע מניסויים בבעלי חיים (Miller ו-Ricker ב- Present Knowledge in Nutrition. 10th Ed.משנת 2012). בחולדות החסרות חומצה פנטותנית התפתח נזק לבלוטות האדרנל, ואילו בקופים עם חסר של חומצה זו התפתחה אנמיה כתוצאה מיצירה מופחתת של heme. בכלבים עם חסר חומצה פנטותנית הופיעה היפוגליקמיה, קצב נשימה ודופק לב מהירים, ופרכוסים. תרנגולות עם חסר זה פיתחו גרד עור, נוצות פגומות, ונזק לעצב השדרה, כתוצאה מניוון של מעטפת המיאלין. עכברים חסרים חומצה פנטותנית, הראו כושר תנועה ןפעילות מופחת, עם אגירה ירודה של גליקוגן בכבד וברקמת השריר. בעכברים אלה התפתח גרד עור, פרווה מאפירה, תסמינים שהתפוגגו עם טיפול בחומצה פנטותנית.
ספיגת חומצה פנטותנית
רוב החומצה הפנטותנית במזון מופיע בצורת קואנזים-A או כ-ACP או acyl carrier protein. כדי שתאי המעי יספגו ויטמין זה, הוא חייב להיות קודם לכן מוסב לצורת חומצה פנטותנית חופשית. בתוך ה-lumen של המעי, CoA ו-ACP עוברים הידרוליזה ליצירת phosphopantetheine-'4, שעובר אז דה-פוספורילציה לקבלת pantetheine, וזה עובר הידרוליזה על ידי אנזים המעי pantetheinase לקבלת חומצה פנטותנית חופשית. התרכובת האחרונה נספגת לתאי המעי דרך מערכת טרנספורט פעילה התלויה בנתרן (Gropper וחב' משנת 2009). ברמות גבוהות של צריכת חומצה פנטותנית, כאשר מנגנון הספיגה המתואר מגיע לדרגת ריוויון, חומצה פנטותנית יכולה להיספג במעי גם על ידי דיפוזיה פסיבית. חומצה פנטותנית בצורת phosphopantetheine-'4 נחשבת יותר פעילה בגוף: אך כל נגזרת חייבת קודם לכול לחזור לצורת חומצה פנטותנית לפני הספיגה במעי. עשרה מיליגרם של calcium pantothenate שווי ערך ל-9.2 מיליגרם חומצה פנטותנית.
חיידקי מעיים וויטמין B5
חלק מחיידקי הפלורה הטבעית של המעי הגס, מסוגלים לסנתז בעצמם חומצה פנטותנית. Said וחב' פרסמו בשנת 1998 ב- Am J Physiol ניסוי בו הם השתמשו בשורת תאים NCM460 שמקורה בתאי אפיתל המעי הגס באדם, וזיהו טרנספורטר ספציפי של ביוטין ושל חומצה פנטותנית המאפשר ספיגה במעי של 2 ויטמינים אלה המיוצרים כאמור על ידי חיידקי מעי. מדובר בטרנספורטר hsMVT או human sodium-dependent multivitamin. בשנת 2013 דווחו Chirapu וחב' ב-Curr Top Med Chem שלמינונים גבוהים של חומצה פנטותנית יש פוטנציאל להתחרות עם ביוטין על ספיגה במעי וקליטה על ידי תאים.
ערכי צריכה מומלצים של ויטמין B5
בניגוד לוויטמינים אחרים לא נקבעו לוויטמין B5 ערכי RDA מומלצים, אך קיימת הסכמה בקרב אנשי ה-Food & Nutrition Board של ה-Institute of Medicine בהתבסס על נתוני צריכה של אוכלוסייה בריאה שכמות הוויטמין המומלצת ליום תהיה כדלקמן:
ערכי צריכה פדיאטריים: תינוקות עד גיל 6 חודשים -1.7 מיליגרם; תינוקות מגיל 7 חודשים עד שנה -1.8 מיליגרם; ילדים בגיל 1-3 שנים- 2מיליגרם; ילדים בגיל 4-8 שנים-3 מיליגרם; ילדים בגיל 9-13 שנים- 4 מיליגרם; ילדים בגיל 14-18 שנים – 5 מיליגרם.
ערכי צריכה למבוגרים: גיל 19 שנה ומעלה – 5 מיליגרם; נשים הרות 6 מיליגרם; נשים מיניקות -7 מיליגרם. בשנת 2014 פרסם EFSA או European Food Safety Authority המלצה שהמינון היומי למבוגרים, כולל נשים הרות, יעמוד על 5 מיליגרם.
מקורות במזון של ויטמין B5
| סוג המזון | גודל המנה | כמות ויטמין B5 (במיליגרם) |
|---|---|---|
| כבד בקר מבושל או צלוי | 100 גרם | 5.6 |
| חרצני חמניות מיובשות | 30 גרם | 2.0 |
| מאכלי דגים מבושלים | 100 גרם | 1.9 |
| יוגורט דל שומן | 250 גרם | 1.6 |
| לובסטר מבושל | 100 גרם | 1.4 |
| אבוקדו | חצי פרי | 1.0 |
| תפוח אדמה בלתי מקולף מבושל | תפוח אדמה שלם | 1.0 |
| חלב | ספל אחד | 0.87 |
| בשר חזיר מבושל או צלוי | 100 גרם | 0.86 |
| בשר עוף מבושל או צלוי | 100 גרם | 0.83 |
| ביצה מבושלת | ביצה גדולה | 0.70 |
| גבינת feta | חצי ספל | 0.70 |
| שעועית (lentil) מבושלת | חצי ספל | 0.63 |
| אפונה ירוקה | חצי ספל | 0.58 |
| פטריות לבנות | חצי ספל | 0.52 |
| בוטנים (אגוזי-אדמה) | 30 גרם | 0.50 |
| ברוקולי (מבושל ) | חצי ספל | 0.48 |
| תפוז | פרי שלם | 0.30 |
| לחם מחיטה מלאה | פרוסה אחת | 0.21 |
לקוח מ-
Food and Nutrition Board, Institute of Medicine. Pantothenic acid. Dietary Reference Intakes: Thiamin, Riboflavin, Niacin, Vitamin B6, Vitamin B12, Pantothenic Acid, Biotin, and Choline. Washington, D.C.: National Academy Press; 1998:357-373.
תוספים של ויטמין B5
הנגזרת של חומצה פנטותנית הידועה כ-Pantothenol (מוכר גם כ-panthenol), היא צורה יציבה יותר של ויטמין זה, וזו גם הצורה הנכללת בתוספי מולטי-ויטמינים (Trumbo משנת 2006 ב-Modern Nutrition in Health & Disease). צורה נוספת של תוסף ויטמין זה היא calcium pantothenate, שבתור מלח הרבה יותר יציב במערכת העיכול מאשר חומצה פנטותנית, על פי Combs נטילת תוסף זה על ידי אתלטים עשויה לשפר את יעילות ניצול החמצן, ולהפחית במאמץ את הצטברות חומצה לקטית בשרירים ( Smithו- Songב-J Nutr Biochem משנת 1996).
טוקסיות של ויטמין B5
הסבירות של השפעה טוקסית בנטילת חומצה פנטותנית נמוכה ביותר, לכן גם לא נקבע רף עליון נסבל (tolerable upper limit) לנטילת ויטמין זה. מספר ניסויים בהם נבדקו השפעות של מינונים יומיים של 10 גרם של calcium D-pantothenate לא העלו תופעות לוואי, מלבד אי-נוחות במעיים, שהתבטאה לכל היותר בשלשולים (Flodin ב-Pharmacology of micronutrients משנת 1988). גם pantethine נסבל במינון של 1,200 מיליגרם/יום. כמו כן משחות המכילות עד 5% של dexpanthenol (שם מותג D-panthenol) נצרכות בבטחה עד לפחות 30 יום, עם דיווחים בודדים של גירוי העור, contact dermatitis, ואקזמה במקומות האפליקציה של משחות עור המכילות dexpanthenol. לא נרשמו תופעות לוואי גם בעירוי נוזלים המכילים ויטמין B5. יש הסבורים שרמות גבוהות במיוחד עלולות להגביר תופעות של דימום בצורכי הוויטמין הלוקים בתרומבוציטופניה.
השפעת ויטמין B5 על ריפוי פצעים
הוספה של calcium D-pantothenate ו/או של pantothenol למדיום של פיברובלסטים מרקמת עור שגודלו בתרבית, הביאה לשגשוג ותנועה מוגברת של תאים אלה (Weimann ו-Hermann ב- Int J Vitam Nutr Resמשנת 1999, ו-Wiederholt וחב' ב-Exp Dermatol משנת 2009). היפוכו של דבר, כאשר גודלו בתרבית פיברובלסטים מרקמת עור במדיום שחסר חומצה פנטותנית, הושרה בתאים אלה הביטוי של סמני התמיינות (דיפרנציאציה) ושגשוגם של קרטינוציטים עוכב (Kobayashi וחב' ב-J Pharmacol Sci משנת 2011.) אפליקציה של משחות המכילות או calcium D-pantothenate או pantothenol על פני העור נמצא מחיש את סגירת פצעים ומגביר את חוזקה של רקמת הצלקת בבעלי חיים (Ellinger ו-Stehle ב- Curr Opin Clin Nutr Metab Careמשנת 2009).
השפעת dexpanthenol על ריפוי פצעים אינה ברורה. בניסוי אחד מבוקר על ידי פלצבו, שכלל 12 מתנדבים בריאים מריחה של משחה מכילה dexpanthenol אחת ל-12 שעות למשך 1-6 ימים כמודל של ריפוי פצעים, הביא להחשת תהליך ביטוי סמני שגשוג, דלקת ושגשוש תאי עור (Heise וחב' ב- Skin Pharmacol Physiol משנת 2012( . לעומת זאת, ניסוי זה לא הראה את השפעת פלצבו בטיפולים אלה. ניסויים אחדים לא הראו כל השפעה בטיפולים דומים. ניסויים מבוקרים אקראיים לבחון השפעת טיפול דומה במטופלים העוברים ניתוח להסרת כתובות קעקע, לא מצאו כל השפעה מיטיבה שטיפול יומי של 1-3 גרם ויטמין C, ביחד עם 200-900 מיליגרם של חומצה פנטותנית למשך 21 יום (Vaxman וחב' ב-Eur Surg Res משנת 1995,ואותם מחברים באותו כתב עת משנת 1996). לעומת זאת, ניסוי אקראי מבוקר כנגד פלצבו וכפול סמיות, מצא שטיפול ב- dexpanthenol במינון יומי של 300 מיליגרם למשך עד 4 יום מהניתוח, החיש הגלדת רירית לאחר ניתוח להסרת שקדים בילדים (Celebi וחב' ב- Ann Otol Rhinol Laryngol משנת 2013).
השפעת חומצה פנטותנית על השיער
מודלים בעכברים מצאו שחסר חמור בוויטמין B5 מביא לנשירת שיער ולהלבנה שלו, תופעה שניתן היה למנוע במתן חומצה פנטותנית. אין כל ראיות לתרחיש דומה בבני-אדם (Woolley ב-J Biol Chem משנת 1941). ממצאים אלה הביא את תעשיית התכשירים הקוסמטיים להוספה של חומצה פנטותנית למוצרים קוסמטיים כגון שמפו. למרות שאין כל ראייה לפעילות משפרת את הפיזיולוגיה של שיער, ממשיכות חברות הקוסמטיקה להדגיש שמוצריהן מכילים ויטמין B5 (על פי Schalock וחב' ב-Contact Dermatitis משנת 2000).
אינטראקציה אפשרית של חומצה פנטותנית עם תכשירים אחרים
ויטמין B5 מגיב עם הספיגה והיעילות של טטרציקלין, בדומה לאינטראקציה של ויטמינים אחרים של קומפלקס B עם תכשיר אנטיביוטי זה. ויטמין B5 יכול להגביר את השפעת מעכבים של cholinesterase, המשמשים לעתים בתרחישי שיטיון, כגון donepezil (Aricept), memantine hydrochloride (Ebixa), glantamine (Reminyl) ו-ivastigime (Exelon). ויטמין B5 יכול להגביר השפעת מדללי-דם כגון קומאדין, אספירין ודומיהם. יש ראיות לכך שתכשירים למניעת הריון המכילים אסטרוגן ופרוגסטין יכולים לנטרל חלק מפעילותה של חומצה פנטותנית.
הנגזרת calcium homopantothenate או בשמה האחר hopantenate , היא אנטגוניסט של חומצה פנטותנית עם השפעות כולינרגיות הדומות לאלו של הנוירוטרנסמיטור אצטילכולין. תרכובת זו משמשת ביפאן לעודד תפקוד מנטאלי, בעיקר במחלת אלצהיימר. כדי למנוע תרחישים כמו אנצפלופתיה , משתמשים שם בחומצה פנטותנית מה שמרמז שהתרחיש האחרון נגרם על ידי חסר בחומצה פנטותנית שהושרה על ידי homopantothenate (על פי Bender ב-Proc Nutr Soc משנת 1999). יש לציין, שמוטציות גנטיות בגן האנושי PANKII המקודד לאנזים pantothenic acid kinase II , גורמות להפרעה בסינתזה של 4'-phosphopantetheine וכן לזו של קואנזים-A. מפגע זה ידוע בשם pantothenate kinase-associated neurodegeneration, והוא מאופיין על ידי הפרעות ראייה וחסכים אינטלקטואלים, דיסטוניה, הפרעות דיבור, קשיים התנהגותיים ובעיות אישיותיות (Kurian ו-Hayflick ב-Int Rev Neurobiol משנת 2013).
הוראות לביצוע בדיקה
מומלץ להיות בצום של 8 שעות לפני הבדיקה. ניתן לבצעה בנסיוב (איסוף דם במבחנה כימית, פקק אדום ללא ג'ל, או בפלזמה (איסוף דם במבחנת ספירת-דם, EDTA עם פקק סגלגל), או במבחנת סודיום-הפארין (פקק ירוק). מועדפת העברת נוזל המופרד למעבדה בקירור בכלי עם קרחום. יש להגן על המבחנה מפני חשיפה לאור. יציבות הדגימה בטמפרטורת החדר-6 שעות; בקירור-6 ימים; בהקפאה-25 יום. יש לפסול דגימות המוליטיות מאוד או ליפמיות מאוד, וכן דגימות שהגיעו לא מקוררות למשך 24 שעות. שיטת הבדיקה המועדפת כיום היא LC/MS/MS או Liquid Chromatography/Tandem Mass Spectrometry.
ראו גם
המידע שבדף זה נכתב על ידי פרופ' בן-עמי סלע, המכון לכימיה פתולוגית, מרכז רפואי שיבא, תל-שומר;
החוג לגנטיקה מולקולארית וביוכימיה, פקולטה לרפואה, אוניברסיטת תל-אביב (יוצר הערך)

כניסה
עקבו אחרינו בפייסבוק 