רמות טריגליצרידים - Triglycerides level
הופניתם מהדף רמות טריגליצרידים לדף הנוכחי.
| מדריך בדיקות מעבדה | |
| רמות טריגליצרידים | |
|---|---|
| Triglycerides level | |
| שמות אחרים | TG, triacylglycerol (TAG) |
| |
| מעבדה | כימיה בדם |
| תחום | מדידת מרכיב ליפידי חיוני כחלק מהתסמונת המטבולית והערכת דיסליפידמיה כגורם סיכון קרדיו-וסקולארי |
| יחידות מדידה | מיליגרם לדציליטר |
| טווח ערכים תקין | רמה נורמאלית: פחות מ-150 מיליגרם לדציליטר; רמה גבולית-גבוהה: 150-199 מיליגרם לדציליטר; רמה גבוהה: 200-499 מיליגרם לדציליטר; רמה גבוהה ביותר (high risk): מעל 500 מיליגרם לדציליטר. יש להדגיש שרמות אלה מתייחסות לדגימות דם שנלקחו בצום של 8-12 שעות. רמות טריגליצרידגים בגברים גבוהות בממוצע ב-7-10% בהשוואה לנשים באותו גיל. נשים הנוטלות גלולות למניעת הריון צפויות לערכי טריגליצרידים הגבוהים ב-20-40 מיליגרם לדציליטר בהשוואה לנשים שאינן נוטלות גלולות אלה. |
| יוצר הערך | פרופ' בן-עמי סלע |
לערכים נוספים הקשורים לנושא זה, ראו את דף הפירושים – הפרעה בשומני הדם
מטרת הבדיקה
בדיקת טריגליצרידים מתבצעת באופן שגרתי כחלק מ"פרופיל השומנים בדם"; הערכת רמת טריגליצרידים בדם על מנת לאבחן בעיה תורשתית במאזן השומנים; הערכת סיכון למחלת לב בעיקר החולי סוכרת; הערכת הסיכון לדלקת הלבלב; סיוע באבחון תסמונת נפרוטית. בדיקת טריגליצרידים מקובלת לאחרונה גם בבירור של כאבים ברום הבטן, כבד וטחול מוגדלים, וחשד לדלקת הלבלב.
בסיס פיזיולוגי
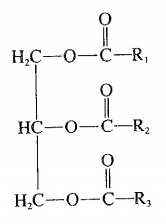
טריגליצרידים מהווים כ-95% מכלל השומנים במזון, והם נכללים בשומנים מן החי או ממזון צמחי. טריגליצריד הוא מבנה הנוצר מקשר אסטרי של שלוש חומצות שומניות לשלד גליצרול, ומהווה מרכיב עיקרי בשומני הגוף. לגליצרול שלושה שיירים הידרוקסיליים (OH-), הנקשרים לשיירים הקרבוקסיליים (-COOH) של שלוש חומצות שומן. חומצות השומן המרכיבות טריגליצרידים שונות בדרך כלל, אך הן בדרך כלל חומצות באורך של 16, 18 ו-20 פחמנים. המשקל המולקולארי של טריגיצריד הוא בין 800 ל-900 דלטון בתלות בהרכב חומצות השומן, ובדגימות של בני-אדם ממוצע המשקל המולקולארי הוא 885 דלטון. תפקידם העיקרי של טריגליצרידים הוא לספק אנרגיה לתאי הגוף, כאשר גרם אחד של חומצות שומן משחרר כ-9 קילו-קלוריות (או 38 קילו-ג'אול), פי-2 יותר מאשר האנרגיה המשתחררת מפחמימות או חלבונים. רוב חומצות השומן מגיעות מהמזון, וניתנות לסינתזה בגוף עצמו והן מוגדרות כ-non-essential fatty acids, כאשר רק 3 חומצות שומן אינן מיוצרות בגוף האדם, לינולאית, לינולנית ואראכידונית, והן מוגדרות כחומצות שומן הכרחיות, והן אמנם חיוניות לשגשוג תאים, לשלמות ממברנת התאים, לסינתזה של פרוסטגלנדינים, וליצירת מיאלין במערכת העצבים.
חילוף חומרים של טריגליצרידים
האנזים ליפאזה המופרש מבלוטת הלבלב בעזרת חומצות מרה, מביא להידרוליזה של טריגליצרידים, ומשחרר חומצות שומן, כאשר טריגליצרידים כשלעצמם אינם יכולים להיספג על ידי התריסריון. חומצות שומן חופשיות, חד-גליצרידים ודו-גליצרידים נספגים בתריסריון, לאחר הידרוליזה חלקית או מלאה של טריגליצרידים. תוצרי ביקוע אלה חודרים לתאים אנטרוציטים ברירת המעי הדק, ובתאים אלה טריגליצרידים נבנים מחדש מתוצרי הביקוע שלהם, ונדחסים עם כולסטרול ליצור כילומיקרונים. המבנים הללו מופרשים מהאנטרוציטים ונאספים על ידי מערכת הלימפה למחזור הדם ומשם לרקמות השונות. ברקמות אלה הכילומיקרונים משחררים את הטריגליצרידים שמשמשים כמקור אנרגיה.
ברקמות השומן מהווים טריגליצרידים רוב מכריע כאשר מונו-ודו-גליצרידים מהווים אחוז קטן ביותר. בשל היותם בלתי מסיסים במים, טריגליצרידים מועברים בדם בשילוב עם שומנים יותר קוטביים דוגמת פוספוליפידים, או בשילוב עם חלבונים כמו גם עם כולססטרול וכולסטריל-אסטר, כחלק מליפופרטאינים מורכבים.
כצפוי, טריגליצרידים (כמו גם כולסטריל-אסטר) הלא-קוטביים, מהווים בעיקר את הליבה של הליפופרוטאין, כאשר החלבונים היותר קוטביים והפוספוליפידים נמצאים במעטפת של חלקיקים אלה, עם השיירים הקוטביים שלהם פונים כלפי חוץ כדי לייצב את המבנה בתוך תווך מימי של הפלזמה. טריגליצרידים הם מרכיבים עיקריים של VLDL ושל כילומיקרונים.
תאי שומן ותאי כבד יכולים לסנתז ולאגור טריגליצרידים, וכאשר הגוף זקוק לחומצות שומן כמקור אנרגיה, ההורמון glucagon מעודד את הביקוע של טריגליצרידים על ידי האנזים ליפאזה המושפע מהורמון זה. כיוון שהמוח אינו יכול לנצל חומצות שומניות כמקור אנרגיה, שלד הגליצרול של טריגליצרידים מותמר לגלוקוזה, במסלול הגליקוליזה. כיון שטריגליצרידים אינם יכולים לעבור בחופשיות דרך ממברנות תאים, בדפנות הנימים של הרקמות מצוי האנזים ליפופרוטאין-ליפאז, המפרק את הטריגליצרידים שבכילומיקרונים לקבלת גליצרול וחומצות שומן.
תוצרי הידרוליזה אלה נכנסים לתאים ומשתתפים בתהליכים מטבוליים או מתחמצנים. חומצות שומן יכולות לחדור לתאים על ידי טרנספורטר ספציפי-FAT או fatty acid transporter. חלק מחומצות השומן החודרות לתאי השומן הופכות שוב לטריגליצרידים, הנאגרים שם. חלק מחומצות השומן המגיעות לרקמות השריר, מתחמצנות ומספקות אנרגיה לפעילות היום-יומית השגרתית של רקמה זו. שיירי הכילומיקרונים מגיעים לכבד ונקלטים בתוך תאי הכבד בעזרת אנדוציטוזה. לעומת זאת בדם כילומיקרונים ו-VLDL הופכים ל-LDL, כאשר זמן חצי החיים שלהם בדם הוא 4-5 שעות.
טריגליצרידים בפלזמה מגיעים משני מקורות: המעי והכבד. מקור חומצות השומן שמרכיבות את הטריגליצרידים שמגיעים לדם מהכבד, תלוי במצב התזונתי של האדם. במצב של צום, חומצות שומן מגיעות מטריגליצרידים של רקמת השומן, נקלטות בכבד, כאשר חלקן מופרשות ממנו בצורת VLDL. לעומת זאת, לאחר ארוחה פחמימות מהמזון מגיעות לכבד ומומרות של לטריליצרידים, המופרשים כ-VLDL. יש לציין שפרט לתרחישים של ספיגת שומן ישירות מהמזון, הכבד הוא מקור התרומה העיקרי של טריגליצרידים לפלזמה.
הגודל, אחוז התכולה של טריגליצרידים, ודרגת הצפיפות של חלקיקי ליפופרטאינים הנוצרים במעי ובכבד, משתנים בתלות לכמות הטריגליצרידים שהשתחררו. בהתאם, קצב שחרור ניכר של טריגליצרידים מביא ליצירת חלקיקים עם מטען טריגליצרידים גדול וצפיפות נמוכה יותר. למעשה, חלקיקי ליפופרוטאינים המשתחררים מהכבד, יכולים להגיע לקוטר שאינו קטן בהרבה מזה של כילומיקרונים שמקורם במעי. זאת, למרות שבאופן נורמאלי יש לחלקיקים אלה תכולת טריגליצרידים נמוכה יותר, ובהתאם צפיפותם גבוהה יותר.
קטבוליזם של טריגליצרידים
הפעילות של האנזים ליפאזה על פני שטח תאי האנדותל, לא רק מסייעת להרחקת טריגליצרידים מהדם, אלא אף קובעת את המקום והזמן שטריגליצרידים נחוצים בתור שכאלה, או שהם מועמדים לפרוק. לדוגמה, במצב של "עודף קלורי", חומצות השומן ממקור טריגליצרידים בזרם הדם נלקחות על ידי רקמת השומן, שם הן מנוצלות ליצירה תוך-תאית מחודשת של טריגליצרידים לצורך אגירה. לעומת זאת, במצב של "חסר קלורי" בעיתות צום, הרקמות מקבלות את האנרגיה לה הן זקוקות מחמצון של חומצות שומן לא חיוניות המגויסות מרקמת השומן ונישאות לאותן רקמות דרך הדם. טריגליצרידים נמצאים עדיין בתוך חלקיקי VLDL במצבים אלה, אך במקום שהם ינוצלו על ידי רקמת שומן, הם מגיעים ישירות לרקמת השריר, לספק את דרישות האנרגיה. השינוי הזה בניצול חומצות השומן של טריגליצרידים על ידי רקמת שריר ולא על ידי רקמת שומן, מתרחש בעזרת השינויים בפעילות של האנזים ליפאזה התוך-תאית ברקמות אלה. בעת צום יורדת פעילות הליפאזה ברקמת שומן, ועליה בפעילות האנזים ברקמת שריר.
האנזים ליפאזה הפועל בתוך תאי רקמת השמן להסרת חומצות שומן מטריליצרידים, נבדל מהאנזים ליפאזה הפועל בפלזמה, בהיותו רגיש להורמונים באופן שהוא מוסב מאנזים בלתי-פעיל לאנזים פעיל על ידי אפינפרין, נור-אפינפרין, קורטיקוטרופין, ההורמון המגרה בלוטת התריס (TSH) וגלוגקון. יתרה מכך, פעילות הליפאזה התוך- תאית, מעוּדדת גם על ידי הורמון הגדילה (GH). לעומת זאת, ליפאזה תוך-תאית מעוכבת על ידי אינסולין, ובניגוד לאנזים ליפאזה של רקמת השומן, ליפאזה-רגישה-להורמונים של רקמות אחרות עולה בפעילותה בעת צום, כנראה בשל דעיכה בפעילות אינסולין.
דיאטות עשירות בפחמימות המהוות מעל 60% מהאנרגיה הנצרכת, עלולות להגביר רמת טריגליצרידים. ראוי לציין שהקביעה האחרונה בולטת יותר באנשים עם נטייה ליתר משקל (BMI מעל 28.0), ועמידות לאינסולין הוא הגורם הנחשד לתופעה של היפר-טוריגליצרידמיה מושרה על ידי פחמימות. יש ראיות לכך שצריכת פחמימות עם אינדקס גליקמי גבוה המעלה באופן משמעותי רמת אינסולין, מעלה רמת טריגליצרידים באופן יעיל יותר בנשים מאשר בגברים. אינסולין קשור לרמת טריגליצרידים מוגברת בכך שהוא מעכב את האנזים ליפאזה המפרק טריגליצרידים. כלומר, שמירה על רמה מוקפדת של אינסולין היא דרך יעילה להימנע מעליה ברמת טריגליצרידים.
טריגליצרידים כמרכיב בתסמונת מטבולית
ערך מורחב – התסמונת המטבולית – The metabolic syndrome
רמה מוגברת של טריגליצרידים מהווה חלק ממכלול של מדדים חריגים שנכלל במושג "התסמונת המטבולית". אדם עם תסמונת זו הוא בעל סיכון מוגבר לפתח סוכרת, שבץ מוחי או התקף לב, והוא מוגדר ככזה אם הוא בעל שלושה או יותר מתוך חמשת מרכיבי התסמונת: השמנה בטנית (abdominal obesity), יתר לחץ-דם, רמות מוגברות של גלוקוזה כתוצאה מעמידות לאינסולין, רמה נמוכה של כולסטרול-HDL, רמה גבוהה של טריגליצרידים.
טריצרידים כגורם סיכון למחלה קרדיו-וסקולארית: מחקרים רבים כורכים רמה מוגברת של טריגליצרידים בדם להגברת סיכון לאירוע מוחי או להתקף-לב. רמת טריגליצרידים מעל 200 מיליגרם לדציליטר מגבירה של הסיכון לאירוע מוחי ב-30%, לאחר התאמה של גורמי סיכון אחרים. השילוב של רמת טריגליצרידים גבוהה ורמת כולסטרול-HDL נמוכה, הוא גורם סיכון מוביל לשבץ איסכמי בפרט באלה עם מחלת לב ידועה. יחס מוגבר של טריגליצרידים /HDL, נחשב למנבא משמעותי למחלת-לב, שעל פי רבים הוא אף מדויק יותר מהיחס LDL/HDL.
איגוד הלב האמריקני (AHA) ממליץ על רמה אופטימאלית של טריגליצרידים של 100 מיליגרם לדציליטר ומטה, אך אינו ממליץ על טיפול תרופתי להשיג רמה זו. יחד עם זאת, מומלץ לאלה המנסים להפחית רמת טריגליצרידים בדמם, לבצע התאמות באורח החיים כהקפדה על דיאטה מתאימה, הפחתת משקל ופעילות גופנית סדירה. רמת טריגליצרידים מגיבה יפה לשינויים האמורים. גם הנחיות ה-NCEP ATP III שהתפרסמו ב-JAMA בשנת 2001, מתייחסות לרמות מוגברות של טריגליצרידים כאל גורם סיכון שיש לטפל בו ללא דיחוי בתלות בשיעור המוגברות של ליפיד זה. רמות טריגליצרידים מעל 500 מיליגרם לדציליטר המייצגות סיכון מוחשי לפנקראטיטיס אמורות להיות מטופלות בטיפול תרופתי כגון טיפול בפיבראטים, ניאצין וסטאטינים. אף אלה עם רמת טירליצרידים המתבטאת בליפמיה רטינליס, בהופעת קסנטומה עורית, בכבד או טחול מוגדלים, אמורים על פי הנחיות אלה להיות מטופלים באופן אינטנסיבי להפחתת רמת טריגליצרידים.
מחקר שנערך בדנמרק עקב אחר כ-14,000 גברים ונשים משך למעלה מ-25 שנה, ומסקנתו היא שנשים בהן נמדדו הרמות הגבוהות ביותר של טריגליצרידים בצום בתחילת המחקר, היו בסכנה הגדולה פי-חמישה למות מהתקף לב או לסבול מאירועים קרדיאליים אחרים בהשוואה לנשים עם רמות טריגליצרידים הנמוכות ביותר. לגבי גברים, רמות גבוהות של טריגליצרידים הגבירו את הסכנה לאירועים האמורים פי שניים בלבד. מחקר אחר, שנערך במרכז רפואי הרווארד, עקב אחר כ-26,000 נשים משך למעלה מ-10 שנים, והמסקנה שלו היא שרמות גבוהות של טריגליצרידים, היו כרוכות בסיכון מוגבר משמעותית להתקפי לב ואירועים קרדיו-וסקולאריים אחרים.
בשנת 2007 התפרסמה ב-Circulation מטה-אנליזה שסקרה 29 מחקרים שהתפרסמו ובהם השתתפו במקובץ למעלה מ-260 אלף איש, בחינת מחקרים אלה העלתה שאלה עם רמות טריגליצרידים גבוהות היו בסיכון המוגבר ב-70% לפתח מחלת לב בתקופת מעקב של 10 שנים, בהשוואה לאלה עם רמות נורמאליות של ליפיד זה. יחד עם זאת, כאשר נלקחו החשבון באותם נבדקים גורמים כמו LDL גבוה או HDL נמוך, נחלש סיכון זה. נתון אחרון זה, מעורר כתמיד את הפולמוס סביב טריגליצרידים: האם הם מזיקים כשלעצמם, או שמא הם "מייצגים" את גורמים הסיכון המוכרים? סוגיה זו ממשיכה להיות מוקד לתהיות, שהרי טריגליצרידים הם מרכיב אחד בתוך מכלול התסמונת המטבולית לצד רמת HDL נמוכה, לחץ-דם גבוה, רמת סוכר גבוהה, והיקף מותניים גדול, כשכל אחד מאלה הוא ממרכיבי תסמונת זו, ומהווה כשלעצמו גורם סיכון. מעבר לשיקולים המנגנוניים בדבר המשמעות של רמת טריגליצרידים מוגברת, והאם ליפיד זה מהווה כשלעצמו סיכון ישיר לתחלואה קרדיו-וסקולארית, ההמלצות הטיפוליות המתייחסות כיום ליתר-טריגליצרידים, מושפעות מכך שתרחיש זה מלווה בדרך כלל ברמת LDL גבוהה וברמת HDL נמוכה.
על פי מסמך ה-NCEP שהתפרסם בשנת 2004 ב-Circulation, מומלץ שרק כאשר רמת טריגליצרידים נמדדת מעל 1,000 מיליגרם לדציליטר, כדאי להתחיל בטיפול עם פיבראטים כדי למנוע מצב של דלקת הלבלב כתוצאה מרמת טריגליצרידים מאוד גבוהה. ראוי לציין שתרחיש אחרון זה עלול להתקבל לאחר שתייה הוללת של אלכוהול (binge drinking), שהכרוכה בעליות חדות ברמת טריגליצרידים הנמדדת בדם.
עד שנות ה-50 רמות טריגליצרידים בדם לא נקבעו במדידה ישירה אלא הוערכו על פי הנוסחה הבאה:
(Trigycerides = Total lipids – (cholesterol+phospholipids
שיטת הערכה זו שמשה עד שנת 1957, כאשר Van Handel ו-Zilversmit פרסמו שיטה ידנית ישירה בה הורחקו הפוספוליפידים מתמצית השומנים בנסיוב על ידי חומר סופח, והטריגילצרידים נקבעו על ידי מדידה של כמות הגליצרול שהשתחרר על ידי סיבּוּן (saponification) עם KOH. שיטה זו אומצה מייד ושמשה עד 1966 כאשר Kessler ו-Lederer, הפכו את שלב הסיבון לאוטומאטי. בשנים האחרונות השיטות המקובלות ביותר למדירת רמת טריגליצרידים הן בעיקר: א. שיטת Hantsch שהיא מדידה כימית פלואורסצנטית בו מגיב טריגליצריד בנוכחות אמוניום עם אצטיל אצטון ליצירת התוצר diacetyl dihydrolutidine הנמדד בפלואורומטר באורך גל 485nm. ב. שיטה המורכבת מסדרה של 4 ריאקציות אנזימטיות בהן מגיב טריגליצריד עם ליפאזה, כאשר הגליצרול המתקבל מגיב עם גליצרול קינאזה ליצירת גליצרול 3-פוספאט ו-ADP, ובהמשך פירובאט קינאזה ו-LDH משתתפים ליצירת לקטאט כאשר NADH מומר ל-NAD, ובהתאם נמדדת דעיכת הבליעה באורך גל 340nm.
פענוח תוצאות הבדיקה
רמה מוגברת
תוצאה מוגברת של טריגליצרידים בדם יכולה להיות קשורה לתרחישים הקליניים הבאים: היפרליפידמיה משולבת משפחתית, familial dys-betalipoproteinemia, היפר-טריגליצרידמיה חמורה (type V, רמת טריגליצרידים מעל 1,000 מיליגרם לדציליטר), חסר משפחתי של האנזים ליפופרוטאין-ליפאזה, lipoprotein lipase cofactor (ApoC-II) deficiency, היפר-ליפופרוטאינמיה (types I, IIb, III,IV & V) כתוצאה מהיפר-טריגליצרידמיה משפחתית, lipemia retinalis, מצבי xanthoma עוריים (מסוג palmar ו-eruptive).
מצבים קליניים ראשוניים שעלולים להביא לעלייה שניונית ברמת טריגליצרידים: השמנת יתר, סוכרת לא מאוזנת וסבילות לקויה לגלוקוזה, הפטיטיס נגיפית, אלכוהוליזם, צמקת כבד אלכוהולית, צמקת מרתית, חסימה מרתית חוץ-כבדית, תסמונת נפרוטית, כשל כלייתי כרוני, דלקת חריפה או כרונית של הלבלב, יתר לחץ-דם, אוטם חריף של שריר הלב, אי ספיקת לב כרונית, פקקת מוחית, צינית (gout), הריון, היפותירואידיזם, מחלת אגירת גליקוגן (types I, III, VI), תסמונת Down, תסמונת מצוקה נשימתית (RDS), תסמונת Werner, עקה (stress), פורפיריה סירוגית חריפה, thalassemia major, מחלת Cushing עם הפרשה מוגברת של קוריטזיול ואלדוסטרון, ו-idiopathic hypercalcemia. סיבות נוספות שיכולות להעלות רמת טריגליצרידים הן עישון ממושך, מצבי הידבקות חריפים, דלקת, ודיאטה דלת חלבונים ועתירת פחמימות עם ערך גליקמי גבוה.
רמה מופחתת
רמה מופחתת של טריגליצרידים יכולה לנבוע מהתרחישים הבאים: טריגליצרידמיה ראשונית תופיע באלה עם hypo-beta-lipoproteinemia או במצב של a-beta-lipoproteinemia. תרחישים אחרים שיכולים לגרום להיפו-טריגליצרידמיה שניונית הם: מחלת ריאות חסימתית כרונית, אוטם מוחי, היפר-תירואידיזם, היפר-פארא-תירואידיזם, lactosuria, תת-תזונה, ספיגה לקויה, מחלת כבד סופנית, intestinal lymphangiectasia, פעילות גופנית נמרצת, הפחתת משקל באנשים כבדי משקל.
תרופות המשפיעות על רמת טריגליצרידים
צריכה קבועה של ויטמין C (חומצה אסקורבית) תגרום לתוצאה מוגברת של טריגליצידים כתוצאה מהשפעה אנליטית, ולעומת זאת רמה מוגברת של בילירובין בדם תביא לקבלת תוצאה נמוכה כזובה (false negative) בשל הפרעה אנליטית בתלות בשיטת הקביעה המעבדתית.
תרופות המעלות רמת טריגליצרידים כתוצאה מהשפעתן הפיזיולוגית
חוסמי בתא דוגמת פרופרנולול, amiodarone, רזינים הפועלים בעיכוב פעילות חומצות מרה כ-colestipol ו-cholestyramine, קורטיקוסטרואידים, מְשַתנים בעיקר תיאזידים, ציקלוספורין, danazol, אסטרוגנים (גלולות למניעת הריון), diazepam, אתנול, אינטרפרון, etretinate, טמוקסיפן, מעכבי פרוטאזות בטיפול בנשאי HIV, רטינואידים (רטינול, isotretinoin), תרופות אנטי-פסיכוטיות, קטכולאמינים.
תרופות המפחיתות רמת טריגליצרידים כתוצאה מהשפעתן הפיזיולוגית
ויטמין C במינונים גבוהים, חומצה אמינוסליצילית, asparaginase, הפארין, ניאצין, חומצות אומגה -3 (שמן דגים), prazosin, doxazosin ו-terazosin, פרוגסטינים, סטאטינים, תכשירי פיבראט (clofibrate, gemfibrozil, fenofibrate), מטפורמין, חומצה ניקוטינית, chenodeoxycholic acid-chenodiol. גם צריכת levo-carnitine מפחיתה רמת טריגליצרידים.
רוב המעבדות אינן מתקנות את התוצאה המחושבת של רמת טריגליצרידים תוך התחשבות בריכוז גליצרול חופשי בדם, מה שמביא להערכת יתר ממוצעת של 10 מיליגרם לדציליטר. יש מצבים בהם גליצרול חופשי יכול להיות מוגבר ביותר בדם, כמו לאחר פעילות גופנית בעצימות גבוהה, נזק לכבד, סוכרת, הימודיאליזה, הזנה לא פומית (TPN) ממושכת, עקה, ועירוי תוך ורידי של תרופות המכילות גליצרול.
הוראות לביצוע הבדיקה
יש להקפיד על צום של 12 שעות לפני נטילת דגימת-ים, כיוון שרמת טריגליצרידים עולה תוך שעתיים לאחר הארוחה, ומגיעה לשיאה 4-6 שעות לאחר הארוחה. מדידת טריגליצרידים שלא בצום קריטית במיוחד באלה עם רמות טריגליצרידים גבוהות במיוחד, שכן הכילומיקרונים אצלם גדולים בקוטרם מעל 80 ננומ', ולכך יש משמעות של הפרעה אנליטית במדידת טריגליצרידים. ניתן לדגום את הדם במחנה כימית רגילה (פקק אדום או צהוב), או במבחנה ספירת-דם עם EDTA (פקק סגלגל), אך לא במבחנת PT המכילה ציטראט (פקק תכול) או במבחנות המכילות אוקסלאט או פלואוריד. נטילת דם במבחנת הפארין (פקק ירוק) אינה רצויה, שכן היא עלולה לתת תוצאות מוטות כלפי מטה באופן כזוב כיוון שהפארין עלול לגרום לשפעול האנזים ליפאזה בדגימת הדם. אם משתמשים במבחנה מסוג Vacutaner בנטילת הדם, יש להשתדל שפקק המבחנה יהיה מצופה בסיליקון, ולא בגליצרין.
יש להפריד בסרכוז את הנסיוב/פלזמה מכדוריות הדם תוך פרק זמן שלא יעלה על שעתיים, כדי למנוע ככל האפשר ביקוע טריגליצרידים לגליצרול ולחומצות שומן על ידי פעילות ליפאזה בדם. ניתן לשמור את הדגימה 4-7 ימים בקירור, עד 3 חודשים בהקפאה במינוס 20 מעלות, או לזמן בלתי מוגבל בהקפאה במינוס 70 מעלות. יש להימנע מהקפאות והפשרות חוזרות של הדגימה.

כניסה
עקבו אחרינו בפייסבוק 