Mac-2-binding protein glycosylation isomer
| מדריך בדיקות מעבדה | |
| Mac-2 Binding Protein Glycosylation isomer | |
|---|---|
| שמות אחרים | M2BPGi, Wisteria floribunda agglutinin-positive Mac-2 binding protein |
| מעבדה | כימיה בדם |
| תחום | הערכת פיברוזיס ומפגע כבד אחרים כתוצאה מהדבקה כרונית בנגיפיHBV ו-HCV |
| טווח ערכים תקין | רמות M2BPGi מתחת ל-0.200 COI |
| יוצר הערך | פרופ' בן-עמי סלע |
מטרת הבדיקה
הערכה של דרגות פיברוזיס בכבד בתרחישים הנגרמים בעיקר מהדבקה כרונית עם נגיפי הפטיטיס.
לייפת הכבד
לייפת הכבד (fibrosis) יכולה להתפתח בכל מחלות הכבד הכרוניות (Kim וחב' ב-Liver Int משנת 2015). פיברוזיס מתקדמת הוא גורם תחלואה עיקרי, העלול גרום לקרצינומה של תאי הכבד (להלן HCC), וללא טיפול נאות אף לגרום למוות (Lok ב-Gastroenterol Clin Biol משנת 2009). למרות שלייפת הכבד נחשבה למפגע בלתי-הפיך, נסיגה בלייפת הושגה על ידי הפחתת תהליכי דלקת בכבד, וטיפות בתכשירים אנטי-נגיפיים (Dienstag וחב' ב-N Eng J Med משנת 1999). האפשרות להערכה וניטור של לייפת הכבד קריטית אם כך בהתנהלות עם הסובלים ממחלת כבד כרונית (Kim וחב' ב-Digestion משנת 2013). ביופסיה של הכבד נחשבה שנים רבות כשיטת reference לבחינת דרגת הלייפת (Bravo וחב' ב-N Eng J Med משנת 2001), אך מדובר בשיטה חודרנית, עם שוֹנוּת באינטרפרטציה על ידי מבצעים שונים, ולעיתים עם סיבוכים ביצועיים (Rousselet וחב' ב-Hepatology משנת 2006). מסיבות אלו, פותחו שיטות לא חודרניות רבות:
שיטת ה-transient elastography מודדת את גמישות הכבד על ידי שימוש בגל אלסטי בתדירות נמוכה המועבר דרך הכבד, ושיטה זו נחשבת להדירה ביותר ומהווה חלופה אמינה לדרוג פיברוזיס של הכבד פרט למקרים אחדים כגון obesity (על פי Tsochatzis וחב' ב-J Hepatol משנת 2011, Kim וחב' ב-Hepatol משנת 2015 ו-Friedrich וחב' ב-Nat Rev Gastroenterol Hepatol משנת 2016). הוצעו מספר סמנים בדם לפיברוזיס, חלקם פשוטים ביותר כמו היחס בין רמת האנזים aspartate aminotransferase או AST לבין מספר טסיות הדם הידועה כ- AST to platelet ratio index (להלן APRI), וכן נוסחאות מורכבות יותר כמו שיטת FibroTest, או שיטת ELF או Enhanced Liver Fibrosis בערכה של Siemens Diagnostics NY (על פי Castera וחב' ב-J Hepatol משנת 2010, ו-Imbert וחב' ב-Lancet משנת 2001).
בשנת 2012 הוכנס לשימוש ביפן סמן חדש להערכת פיברוזיס בכבד, וניבוי הופעת HCC. סמן זה ידוע כ-glcosylation isomer of MAC-2 binding protein (להלן M2BPGi אך ידוע גם כ-Wisteria floribunda agglutinin-positive Mac-2 binding protein או M2BP (על פי Kuno וחב' ב-Sci Rep משנת 2013, Abe וחב' ב-J Gastoenterol משנת 2015, Yamasaki וחב' ב-Hepatology משנת 2014 ו-Ito וחב' ב-Hepatology משנת 2012). שני סמנים, galectin-3 ו-sST2 (או soluble isoform of suppressor of tumorgenicity 2), הופיעו כאמצעים לאי-ספיקת לב כתוצאה מפיברוזיס של הלב (Wettersten ו-Maisel ב-Am J Med משנת 2016, ו-Yancy וחב' ב-Circulation משנת 2013). שני חלבונים אלה קשורים בדלקת ופיברוזיס במצבים לא לבביים (Henderson ו-Sethi ב-Immunol Rev משנת 2009, ו-Mueller ו-Dieplinger ב-Exp Rev Mol Diagn משנת 2013), ויכולים לשמש להערכה פרוגנוסטית.
סמן סרולוגי חדש לניבוי של הדרגה של לייפת (fibrosis) הכבד, M2BPGi הוצג לראשונה על ידי Kuno וחב' ב-Sci Rep משנת 2013. Yamada וחב' ב-J Gastroenterol משנת 2017, ו-Cho ו-Hur ב-Ann Lab Med משנת 2018 בחנו את אמינות M2BPGi להערכת פיברוזיס של הכבד, במחלות כרוניות שונות של הכבד כגון הדבקה כרונית בנגיף הפטיטיס C, בהפטיטיס אוטו-אימוני, ב- primary biliary cholangitis וב-NAFLD, בעקבות מחקרם של Atsukawa וחב' ב- Hepatol Res משנת 2017 שדווחו על יתרון של מדידת M2BPGi בתרחישים אלה. על פי Cho ו-Hur, M2BPGi אינו יכול להחליף לחלוטין את בדיקת הביופסיה, אלה לשמש כמדד עזר לתמיכה בתוצאות הביופסיה. ערכי ה-AUC של M2BPGi בנסיוב לאבחון הפיברוזיס היו כדלקמן: 0.774 לדרגת פיברוזיס של F2 ומעלה, 0.892 לדרגת פיברוזיס של F4.
ניסויים קליניים להערכת יעילות הסמן החדש M2BPGi
Moon וחב' ב-Ann Lab Med במחקר משנת 2018 השוו את הסמנים M2BPGi, galectin-3 ו-sST2 ב-173 מטופלים עם מחלת כבד כרונית, והתוצאות נותחו בדרגות פיברוזיס שונות (F2 ,F0/1 ו-F3/4) ביחס לבדיקת transient elastography. תוצאות מחקר זה היו כדלקמן: ערכי M2BPGi, גלקטין-3 ו-sST2 היו שונים משמעותית ביחס לבדיקה אלסטוגרפית ערכי M2BPGi היו גבוהים יותר בשלבי פיברוזיס F2 ו-F3/4 יותר מאשר בשלב הפיברוזיס המוקדם F0/1 עם משמעות סטטיסטית (p<0.001). ערכי sST2 היו גבוהים יותר בשלבי פיברוזיס F3/4, בהשוואה לשלבי הפיברוזיס F0/1 ו-F2 עם משמעות סטטיסטית (P<0.05). ערכי galectin-3 היו גבוהים יותר F3/4 בהשוואה לשלב הפיברוזיס המוקדם F0/1 (p=0.0036). מחקר זה הראה יכולת טובה של M2BPGi להערכה של שלבי הפיברוזיס ביחס לבדיקת elastography, עם שטח מתחת לעקומה (AUC) של 0.835 לגבי שלב פיברוזיס F2, ו-0.814 לגבי שלב פיברוזיס F3. הרגישות והספציפיות של ניבוי שלב הפיברוזיס היו 63.6% ו-91.5% לגבי M2BPGi.
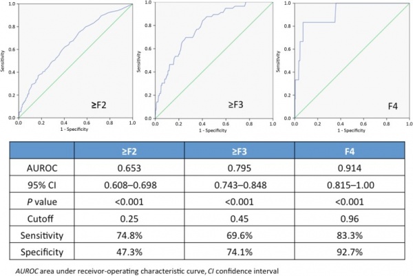
Mak וחב' ב-Clin Transl Gastroenterol משנת 2018, בחנו את אמינות הסמן M2BPGi בנסיוב להערכת פיברוזיס של הכבד ב-327 מטופלים עם הדבקה כרונית של הנגיף HepB, שטופלו באנלוגים של נוקלאוטידים, שעברו ביופסיה של הכבד בבסיס המחקר. המטופלים עברו 2 ביופסיות נוספות לאחר שנה אחת ולאחר 3 שנים. המחקר מצא שערכי M2BPGi עלו בהדרגה ככל שדרגת הפיברוזיס הלכה והחמירה. החציון של רמת M2BPGi היה C.O.I. 0.26 או 0.26 cutoff index ביחס לסולם Ishak בדרגת פיברוזיס של F0/1, 0.34 בדרגת פיברוזיס F2, 0.57 בדרגת פיברוזיס F3 ו-1.21 בדרגת פיברוזיס F4. השטח מתחת לעקומה (AUC) עבור M2BPGi נקבע כ-0.653 לאבחון שלבי פיברוזיס של F2 ומעלה (p<0.001), כאשר תוצאה זו עולה ל-0.795 בדרגות פיברוזיס של F3 ומעלה (p<0.001) ועולה ל-0.914 באבחון של F4 (p<0.001). המחקר מצא שערכי cutoff אופטימליים של M2BPGi בנסיוב לצורך אבחון של דרגות פיברוזיס של F2, F3 ו-F4, הם 0.25, 0.45 ו-0.96, בהתאמה. לאחר אנליזה רב-משתנית נמצא ש-M2BPGi היה הגורם הבלתי-תלוי המשמעותי ביותר לדרגות פיברוזיס של F3 ומעלה, בהשוואה למדדים אחרים כגון היחס בין AST/ALT, היחס בין AST למספר הטסיות, ואינדקס הפיברוזיס המבוססים על ארבעת הגורמים, כאשר הממצא לגבי M2BPGi הוא בעל OR של 8.197 עם משמעות סטטיסטית של p<0.001. מסקנת החוקרים שמאחורי נתונים אלה ש-M2BPGi בנסיוב הוא סמן פוטנציאל לאבחון נוח של הדרגות המתקדמות של פיברוזיס (F3/F4) ללא צורך בביופסיה.
- רמות גבוהות של M2BPGi בנסיוב מנבאות התפתחות של קרצינומה בכבד במודבקים ב-HBV המטופלים עם אנלוגים של נוקלאוטידים על פי Shinkai וחב' ב-J Gastroenterol משנת 2018
טיפול עם אנלוגים של נוקלאוטידים עשוי להפחית את הסיכון ל-HCC, אך לא למנוע בשלמות התפתחות התהליך הממאיר. במחקר זה נבחנו 234 מטופלים עם הדבקה כרונית ב-HBV, המטופלים למעלה משנה עם endeavor או עם tenofovir disoproxil fumarate. במהלך מעקב ממוצע של 51 חודשים, 24 מתוך 234 המטופלים פיתחו HCC. נעשתה מדידה של סמנים של HBV, של α-fetoprotein ושל M2BPGi בבסיס המחקר וכן 48 שבועות לאחר סיום הטיפולים. אנליזה חד-משתנית הראתה שרמות M2BPGi levels ≥ 1.215 COI היו כרוכות בהתפתחות HCC עם HR של 5.73 (p<0.001).
רמות M2BPGi במטופלים עם Idopathic Pulmonary Fibrosis על פי Kono וחב' ב-Respir Med משנת 2016
M2BPGi מופרש גם על ידי מקרופאגים אלבאולריים ועל ידי תאי אפיתל בריאות. מטרת המחקר היא להעריך את השימושיות של סמן זה בתרחיש של idiopathic pulmonary fibrosis (להלן IPF). נסיוב התקבל מ-118 מטופלים עם מחלת ריאות זה. רמות M2BPGi בנסיוב של חולים אלה גבוהות משמעותית בהשוואה לביקורת בריאה, 1.13 ± 0.93 לעומת0.35 ± 0.11, בהתאמה (p<0.001). במטופלים עם IPF, רמות M2BPGi בנסיוב נמצאו במתאם חיובי משמעותי עם KL-6, עם נויטרופילים ב-BAL ועם מוקדים פיברוטיים בריאות, לעומת זאת, רמות M2BPGi בנסיוב נמצאו במתאם שלילי עם %FVC ועם %DLco. יתרה מכך, רמה גבוהה של M2BPGi הראתה נטייה לפרוגנוזה גרועה (p<0.05).
הדיוק של M2BPGi בהשוואה ל- Fibro Scan באנליזה של פיברוזיס במטופלים מודבקים עם הפטיטיס C
Xu וחב' בחנו את היעילות של ערכי M2BPGi לזיהוי שלבי פיברוזיס כבדי במטופלים סינים מודבקים עם נגיף הפטיטיס C ב-Am J Respir Crit Care Med משנת 2015: הידבקות בהפטיטיס C הוא מקור למחלת כבד בעולם כולו. הדבקה כרונית עם נגיף זה עלולה להתפתח לפיברוזיס, ומכאן לצירוזיס ואך לקרצינומה של הכבד. מכאן שהערכת התהליך הפיברוטי קריטית להתנהלות הקלינית, אך בדיקות לא-עדכניות שהתבססו על ביופסיה אינן נוחות לביצוע בפרט במהלך של מעקב וניטור הפיברוזיס לאורך זמן (Bravo וחב' ב-N Eng J Med משנת 2001, ו-Bedossa וחב' ב-Hepatology משנת 2003).
רמות M2BPGi בנסיוב נמדדו ב-680 מטופלים עם הדבקה כרונית ב-HepC וב-164 נבדקים בריאים, שכולם עברו בדיקת FibroScan לגילוי פיברוזיס בכבד. מחקר זה נועד להשוות את הדיוק האבחוני של M2BPGi עם סמנים אחרים של פירוזיס, כולל בדיקת FibroScan, מדד APRI או AST to platelet ratio index, מדד FIB4 או Fibrosis index based on 4 factors, ו-GPR או γ-GT to platelet ratio.
תוצאות מחקר זה היו כדלקמן: בקרב המודבקים הכרוניים בנגיף HepC, חציון רמת M2BPGi בנסיוב היה 0.88 בדרגת פיברוזיס שווה או קטנה מ-2, 1.70 בדרגת פיברוזיס F2/3, ו-5.68 בשלב של צירוזיס. רמות M2BPGi יכלו גם להבדיל בין נבדקי ביקורת בריאים (0.38±0.24), לבין המטופלים הנגועים בנגיף (1.57±2.28). לאחר התאמה לערפילנים (confounders) פוטנציאליים, נמצא ש-M2BPGi הוא הגורם המשמעותי ביותר הכרוך במדידת קשיחות (stiffness) הכבד (0.001p<). ערכי ה-cutoff האופטימאליים של M2BPGi לגבי נבדקים עם דרגות פיברוזיס F2 ו-F4 נקבעו כ-0.945 ו-1.355, בהתאמה. השטח מתחת לעקומה (AUC) של רמת M2BPGi בנסיוב לניבוי פיברוזיס משמעותי בדרגה F4 ומעלה, היה בר-השוואה למדד APRI (0.892 לעומת 0.873), אך היה עדיף על ערכי AUC של סמנים חלופיים, כולל FIB4 (0.818), ו-GPR (0.851). בהשוואה לסמנים לא-חודרניים נוספים, נמצא ש-M2BPGi היה בעל הספציפיות הגדולה ביותר לאבחון צירוזיס במודבקים עם HepC.
- טבלה - פוטנציאל אבחוני של M2BPGi ב-680 מטופלים עם הדבקה כרונית ב-HVC
| שלב הפיברוזיס | ערך סף | שטח מתחת לעקומה (AUC) | רגישות | ספציפיות | משמעות סטטיסטית | |
|---|---|---|---|---|---|---|
| ≥ F2 | M2BPGi | 0.945 | 0.774 | 0.745 | 0.694 | Reference |
| APRI | 0.635 | 0.787 | 0.708 | 0.799 | >0.05 | |
| FIB4 | 3.145 | 0.702 | 0.650 | 0.686 | <0.001 | |
| GPR | 0.221 | 0.764 | 0.704 | 0.716 | >0.05 | |
| ≥ F4 | M2BPGi | 1.355 | 0.892 | 0.868 | 0.786 | Reference |
| שחמת | APRI | 0.885 | 0.873 | 0.838 | 0.783 | >0.05 |
| FIB4 | 4.395 | 0.818 | 0.750 | 0.775 | <0.05 | |
| GPR | 0.291 | 0.851 | 0.882 | 0.691 | >0.05 |
יעילות בדיקת M2BPGi לניבוי של כשל כבד לאחר ניתוח בחולים עם קרצינומה בכבד
קרצינומה הפטו-צלולרית (HCC) היא אחת הממאירויות הנפוצות בעולם, וניתוח להרחקת חלק הכבד הנגוע מסייע להישרדות ארוכת-טווח במטופלים נבחרים (Ishizawa וחב' ב-Gastroenterology משנת 2008, ו-de Lope וחב' ב-J Hepatol משנת 2012). לעיתים, ניתוח מסוג זה גורם ל-post hepatectomy liver failure (להלן PHLF) על פי Schroeder וחב' ב-Ann Surg משנת 2006, ו-Paugam-Burtz וחב' באותו כתב עת משנת 2009). השיעור של PHLF דווח כתרחיש המופיע ב-1.2-32%מהמקרים (Capussotti וחב' ב-Eur J Surg Oncol משנת 2005, Mullen וחב' ב-J Am Coll Furg משנת 2007, Mizuguchi וחב' ב-J Gastrointest Surg משנת 2009, Chok וחב' ב-Br J Surg משנת 2009, Yang וחב' ב-World J Surg משנת 2011 ו-Rahbari וחב' ב-Surgery משנת 2011). הטווח הרחב של תרחישי PHLF יכול להיות מיוחס לחוסר של הגדרה אוניברסלית של PHLF. על מנת להגדיר באופן סטנדרטי את PHLF הוצע בשנת 2010, להתייחס לזיהוי מחלת כבד כרונית, פיברוזיס וצירוזיס, כאל מדדים העלולים להגביר את הסיכון ל-PHLF.
אכן, מדדי פיברוזיס, מדדי תפקודי כבד, וממצאי הדמיה נבחנו ליעילותם בניבוי HPLF (על פי Chen וחב' ב-Br J Surg משנת 2012, Lin וחב' ב-J Surg Res משנת 2014, Motoyama וחב' ב-Langenbecks Arch Gurg משנת 2014, Wibmer וחב' ב-Radiology משנת 2013 ו-Yachida וחב' ב-Br J Surg משנת 2009). חברת Sysmex היפנית פיתחה immunoassay המבוסס על שרשרת סוכרית של glycan, המכונה M2BPGi כסמן לפיברוזיס בכבד (על פי Kuno וחב' ב-Proteomics Clin Appl משנת 2013 ו-Toshima וחב' ב-J Gastroenterol משנת 2015). מדד זה נמצא יעיל גם בניבוי של דה-קומפנסציה של הכבד והתפתחות HCC במטופלים עם מחלת כבד כרונית (Hanai וחב' ב-Hepatol Res משנת 2015, ו-Yamasaki וחב' ב-Hepatology משנת 2014). נותר לבחון את השימוש בסמן M2BPGi לפני הניתוח לניבוי PHLF.
במחקר של Okuda וחב' ב-Ann Surg משנת 2014, השתתפו 138 מטופלים עם HCC, שעברו ניתוחי הסרה חלקית של הכבד בין אוגוסט 2011 לנובמבר 2014. הערכת PHLF נעשתה על ידי אנליזת ROC או receiver operating characteristic. תוצאות המחקר היו כדלקמן: רמות M2BPGi היו גבוהות משמעותית בנסיוב של נבדקים חיוביים ל-HepC מאשר באלה השליליים לנגיף זה, אפילו באותו שלב של פיברוזיס. PHLF השווה או גבוה מדרגה B התפתח ב-19 ממשתתפי הניסוי (13.8%). השטח מתחת עקומת ROC או AUROC של M2BPGi לניבוי PHLF השווה או גבוה מדרגה B, היה 0.71. באנליזה רב-משתנית (OR=2.08) וספירת טסיות (OR=0.39) היו 2 הגורמים המשמעותיים ביותר הכרוכים ב-PHLF השווה או גבוה מדרגה B. הנתון העיקרי הוא שבמטופלים חיוביים להדבקה ב-hepC, יכולת הניבוי של M2BPGi ביחס ל-PHLF (עם AUROC של 0.85) היא הטובה ביותר בין כל המדדים הקדם-ניתוחיים.
התפקיד של רמות M2BPGi באבחון פיברוזיס וצירוזיס משמעותיים בחולים עם הדבקה כרונית של HepB (על פי Mak וחב' ב-Clin Transl Gastroenterol משנת 2018)
הוצע M2BPGi כמדד הולם להערכת פיברוזיס בהדבקה כרונית של HepC (על פי Nishikawa וחב' ב-Hepatol Res משנת 2017), ב-NAFLD (על פי Abe וחב' ב-J Gastroenterol משנת 2015), ב-primary biliary cholangitis (על פי Umemura וחב' ב-Am J Gastroenterol משנת 2015), בהפטיטיס אוטו-אימונית (Nishikawa וחב' ב-Hepatol Res משנת 2016, ובחסימה מרתית (Yamada וחב' ב-J Gastroenterol משנת 2017). במחקר M2BPGi נמצא בהתאמה עם פיברוזיס משמעותי בכבד של מטופלים סינים עם הדבקה ב-HBV, על פי Zou וחב' ב-Liver Int משנת 2017. במחקר הנוכחי נמדדה רמת M2BPGi לאבחון פיברוזיס מתקדמת במודבקים עם HBV, תוך מעקב היסטולוגי אחר דרגות הפיברוזיס, זאת גם בהקשר של טיפול עם אנלוגים של נוקלאוטידים.
התוצאות של מחקר זה היו כדלקמן: במחקר השתתפו 327 עם הדבקה כרונית ב-HepB שהיו מטופלים באנלוגים של נוקלאוטידים, מתוכם 229 גברים, כאשר הגיל הממוצע של כל המשתתפים 38.1 שנה. הרמות הממוצעות של M2BPGi היו 0.26, 0.34, 0.57 ו-1.21 של COI או cutoff index בהתאמה, בדרגות פיברוזיס של F3, F2, F0-1 ו-F4 בהתאמה (0.01p<). רמות M2BPGi תאמו את סולם Ishak (עם0.001p<). תוך שימוש בערכי cutoff של 0.25, 0.45 ו-0.96 של COI עבור דרגת פיברוזיס שווה או גדולה מ-2, דרגת פיברוזיס שווה או גדולה מ-3 ודרגת פיברוזיס F4, ערכי AUROC נקבעו כ-0.653, 0.795 ו-0.914, בהתאמה. אנליזה רב משתנית עם מספר מדדים נוספים בנסיוב, הראתה ש-M2BPGi היה הגורם הבלתי-תלוי המשמעותי ביותר לקביעת דרגות פיברוזיס שוות או גדולות מ-F3 (עם OR של 8.197, ו-0.001p<). בתת-קבוצות של מטופלים שעברו סדרת ביופסיות, הן השיעור המקרים של פיברוזיס בדרגת F3/F4 וכן רמת M2BPGi פחתו לאחר שנה של טיפולים: מקרי פיברוזיס בדרגה F3 נמצאו ב-8.3% מהמטופלים, ואילו דרגות פיברוזיס של F4 רק ב-2.8% מהמטופלים, ורמות M2BPGi פחתו מ-0.32 ל-0.21 בערכי COI, משמעות סטטיסטית גבוהה לגבי שני הנתונים (0.001p<). האלה מהמטופלים בהם נמצאה בבחינה היסטולוגית רמה מתקדמת של פיברוזיס למרות הטיפולים, נרשמה גם עליה ברמת M2BPGi בהשוואה למופלים ללא התקדמות בתהליך הפיברוזיס, (עליה של 0.14+ לעומת ירידה של 0.03-, עם 0.045p<).
הערכת M2BPGi במקרים של חסימה מרתית
הערכת פיברוזיס בכבד של מאובחנים עם biliary atresia (להלן BA) היא גישה חשובה להערכה פרוגנוסטית, ללא כל קשר להופעה או אי-הופעה של צהבת (Tomita וחב' ב-J Hepatol משנת 2014). השיטה שעדיין מהווה "סטנדרט הזהב" לקביעת פיברוזיס בתרחישי אטריזיה מרתית היא ביופסיה של הכבד, גישה חודרנית שסיבוכיה הפוטנציאליים מרובים: דימום, כאבי בטן ממושכים, פנאומותורקס, hemothorax, דליפה מרתית, cholangitis, סיבוכים הקשורים להרדמה ואף מוות (Westheim וחב' ב-J Pediatr Gastroenterol Nutr משנת 2013). ביצוע ביופסיית כבד עלול כמו כן להיות נגוע בשגיאות דיגום כמו גם בהבדלים של פירוש סובייקטיבי מצד מבצעי ביופסיה שונים כפי שקבע הסקר הצרפתי הידוע כ-The French METAVIR Cooperative Study Group in Hepatology משנת 1994.
Yamada וחב' דווחו ב-J Gastroenterol משנת 2017 על המחקר הראשון מסוגו של בחינת יעילותו של M2BPGi לניבוי פיברוזיס בדרגה F4 במטופלים עם BA. תוצאות מחקר זה היו כדלקמן: רמתו המוצעת של M2BPGi במטופלים עם BA נקבעה כ-6.02, כאשר הרמה הפרטנית של מדד זה במטופלים עם פיברוזיס בדרגות F3 ,F2 ,F1, F0 ו-F4 (על פי סולם METAVIR נקבעו כ-0, 1, 1, 11 ו-51, בהתאמה. במטופלים עם פיברוזיס בדרגה F4, הרמה הממוצעת של M2BPGi נמצאה כ-6.88, שהייתה גבוהה משמעותית (p<0.01) מרמת M2BPGi במטופלים עם פיברוזיס בדרגה F3, בהם הממוצע של מדד זה נמצאה כ-2.42. אנליזה של השטח מתחת לעקומה (AUC) על היכולת של M2BPGi לנבא את דרגת הפיברוזיס נקבע כ-0.917, עם ספציפיות ורגישות של 0.923 ו-0.941, בהתאמה. בהשוואה לסמנים נוספים של פיברוזיס, כגון חומצה היאלורונית (HA), פפטיד פרו-קולאגן-III, קולאגן type IV 7s והיחס בין האנזים אספרטאט טרנסאמינאז לבין ספירת טסיות דם, M2BPGi נמצא בעל היכולת הגבוהה ביותר לניבוי פיברוזיס בדרגה F4.
M2BPGi מנבא את השפעול של תאי-כוכב בכבד (stellate cells) לאחר השתלת כבד
השתלת כבד מהווה הליך כירורגי שגרתי באלה עם ESLD. עם זאת, התפתחות פיברוזיס בכבד המושתל עלולה לגרום לצירוזיס בטווח הארוך. מספר סיבות להופעת פיברוזיס בכבד המושתל כגון דחייה כרונית, הפטיטיס אוטו-אימונית de novo, סיבוכים מרתיים יתר לחץ-דם פורטלי, או הישנות של המחלה הראשונית. בהשתלות כבד בילדים, הסיבה הרווחת ביותר לפיברוזיס בשתל, היא פגיעה כבדית הנגרמת מתגובה חיסונית. בעבר נקטו חוקרים אלה בנטילת ביופסיה מהכבד לברר אפשרות של הופעת פיברוזיס בשתל, ואכן ב-10% מהילדים המושתלים התגלה תהליך פיברוטי בכבד המושתל. במחקר הנוכחי בחנו Yamada וחב' ב-J Gastroenterol Hepatol משנת 2018 את היכולת של M2BPGi לנבא פיברוזיס בכבד המושתל ב-116 מושתלים בהם בוצעה גם ביופסיה ומדידת רמת M2BPGi נעשתה באותו יום. הגיל הממוצע בעת ביצוע ההשתלה היה 1.1 שנה, והגיל הממוצע בעת בדיקת הביופסיה ומדידת M2BPGi היה 11.8 שנים. רמת M2BPGi הושוותה להערכה ההיסטולוגית עם נוגדנים כנגד alfa-smooth-muscle actin (או alfaSMA).
תוצאות מחקר זה היו כדלקמן: הרמה הממוצעת של M2BPGi בכל משתתפי המחקר נקבעה כ-0.78. דרגות הפיברוזיס במושתלי הכבד היו F0 ב-65 מושתלים, F1 ב-29 מושתלים, F2 ב-16 מושתלים, F3 ב-מושתלים ו-F4 במושתל אחד. במושתלים עם דרגת פיברוזיס של F0 רמת 2M2BPGi הממוצעת הייתה 0.69, שהייתה נמוכה משמעותית (0.01p<) בהשוואה לרמה של 0.99 במושתלים עם פיברוזיס בדרגה F1, ומהרמה הממוצעת של 1.00 באלה עם פיברוזיס ברמה F2 עם p=0.01), וכן מרמה הממוצעת של 1.53 באלה עם פיברוזיס בדרגה F3 עם 0.01p<). האנליזה של השטח תחת העקומה (AUC) לבחינה יכולת המדד M2BPGi לנבא פיברוזיס, העלתה רמה ממוצעת 0.716 לגבי F1, רמה ממוצעת של 0.720 לגבי F2, ורמה ממוצעת של 0.900 לגבי F3. כמו כן נמצא מתאם חיובי בין רמות M2BPGi ונוכחות חיובית של αSMA (עם=0.715 2 r ו-0.01p<). מסקנת המחקר הייתה ש-M2BPGi מוגבר במושתלי כבד, בעיקר באלה עם דחייה חריפה של השתל, גם אם אין בהם תהליך פיברוטי.
רמות M2BPGi מנבאות פיברוזיס ב-NASH וב-NASH שחמתי
Non alcoholic Steatohepatitis או NASH, נחשבת כצורה אגרסיבית המובילה לדלקת בכבד ונזק להפטוציטים, הגורם התנפחות תאים אלה (ballooning). תרחיש NASH הוא הכוח המניע להתפתחות פיברוזיס, שהוא הגורם הפרוגנוסטי החשוב ביותר לנזק מתקדם של הכבד (Angulo וחב' ב-Gastroenterol משנת 2015, ו-Ekstedt וחב' ב-Hepatology מאותה שנה). יתרה מכך, ההתפתחות של צירוזיס על רקע פיברוזיס מתרחשת ב-10-25% מאלה עם NASH פיברוטי, היא בעלת משמעות קלינית במושגים של התפתחות ESLD (על פי Goh ו-McCullough ב-Dig Dis Sci משנת 2016). למרבה האכזבה, ביופסיית כבד עדיין נחשבת למדד הזהב להבדיל בין NAFLD, לבין NASH מוקדם או NASH פיברוטי, בנוסף למתן מידע על דרגת ה-steatosis, על חומרת הפעילות הדלקתית, ועל דרגת הפיברוזיס. מחקר זה של Alkhouri וחב' ב-PLos One משנת 2018, נועד להעריך את השימוש ב-M2BPGi כסמן בעזרתו ניתן לסווג מטפלים מערביים עם NAFLD, לפי דרגות החומרה של מחלתם.
תוצאות המחקר היו כדלקמן: המדגם כלל 20 אנשים בריאים ו-198 מטופלים עם הוכחה על ידי ביופסיה ל-NAFLD, שהתחלקו בצורה הבאה: 52 מטופלים עם NAFL, וכן 52 מטופלים עם NAFL פיברוטי, 52 מטופלים עם NASH פיברוטי ו-32 מטופלים עם NASH צירוטי. נמצא ש-M2BPGi היה מוגבר משמעותית במטופלים עם NASH פיברוטי וצירוטי, בהשוואה לאנשים בריאים ולאלה בשלב מוקדם של NAFLD, לאחר התאמה לגיל, מגדר, ו-BMI. יתרה מכך, במטופלים עם NASH צירוטי נרשמו רמות M2BPGi מוגברות במיוחד עם רמה ממוצעת של 2.4 של COI, כאשר באלה עם NASH פיברוטי רמת M2BPGi הייתה בממוצע 1.2, כאשר משמעות ההבדל הייתה 0.001p<).
המדידה של M2BPGi
רמת M2BPGi בנסיוב מתבצעת עם HISCL, ערכה שפותחה על ידי חברת Sysmex מ-Hyogo, יפן, למדידה ב-immunoanalyzer מדגמי 2000/800/HISCL-5000. בסיס השיטה הוא immunoassay בעזרתlectin-Ab sandwich כאשר הלקטין הוא ממקור.Wisteria floribunda השיטה נכנסה לשימוש מאושר על ידי שלטונות הבריאות ביפן ב-1 בינואר 2015. כל דגימת נסיוב של 10 מיקרוליטר, עברה עיבוד בראקציה שנמשכת 17 דקות. רמות M2BPGi מבוטאות כ-COI או cutoff index ומחושבות על בסיס הנוסחה הבאה:
Cut-off index (COI)=[(M2BPGi) sample −(M2BPGi) NC ]/[(M2BPGi) PC −(M2BPGi) NC ] Cut-off index (COI)=[(M2BPGi)sample−(M2BPGi)NC]/[(M2BPGi)PC−(M2BPGi)NCPC . בנוסחה זו PC הוא ה-positive control ו-NC הוא ה-negative control, כאשר ה-PC מתקבל מתמיסת הקליברציה.
הוראות לביצוע הבדיקה
אין צורך בהכנות מוקדמות כצום. ניתן ליטול את הדם במבחנה כימית (פקק אדום או צהוב) ולהפרידו בסירכוז ללא שיהוי. את הנסיוב המופרד יש להקפיא עד לביצוע הבדיקה.
ראו גם
המידע שבדף זה נכתב על ידי פרופ' בן-עמי סלע, המכון לכימיה פתולוגית, מרכז רפואי שיבא, תל-שומר;
החוג לגנטיקה מולקולארית וביוכימיה, פקולטה לרפואה, אוניברסיטת תל-אביב (יוצר הערך)

כניסה
עקבו אחרינו בפייסבוק