Globotriaosylsphingosine
| מדריך בדיקות מעבדה | |
| Globotriaosylsphingosine | |
|---|---|
| שמות אחרים | α-D-Gal-(1→4)-β-D-Gal-(1→4)-β-D-Glc-1→O-sphingosine; lyso-Gb3; lysoglobotriaosylceramide |
| מעבדה | כימיה בדם וכימיה בשתן |
| תחום | אבחון מחלת Fabry |
| טווח ערכים תקין | בדם-פחות מ-1.1 ננוגרם/מ"ל או פחות מ-1.0 ננומול/ליטר. בשתן-פחות מ-1.4 פיקומול/מילימול קראטינין |
| יוצר הערך | פרופ' בן-עמי סלע |
לערכים נוספים הקשורים לנושא זה, ראו את דף הפירושים – מחלות אגירה
מטרת הבדיקה
אבחון וניטור מטופלים עם מחלת Fabry
מידע קליני
מחלת Fabry היא מחלת אגירה ליזוזומלית, נסיגנית (רצסיבית) תורשתית נדירה העוברת בתאחיזה לכרומוזום X. המחלה נגרמת כתוצאה מחסר האנזים α-galactosidase A (להלן α-Gal A) (Desnick וחב' ב-Ann Intern Med משנת 2003), מה שגורם להצטברות הגליקו-ספינגוליפיד Gb3 או globotriaosylceramide בליזוזומים ברחבי הגוף ובעיקר בכליות, בקרדיומיוציטים, במסתמי הלב ובמערכת ההולכה בלב, בתאי עצב ובמוח, וכן בתאי אנדותל (Mehta ו-Hughes ב-Gene Reviews משנת 2002). האנזים α-Gal A הוא גליקופרוטאין הומודימרי המפרק את שיירי α-galactosyl הטרמינליים מגליקוליפידים ומגליקופרוטאינים. אנזים זה מפרק בעיקר ceramide trihexoside, והוא מסוגל גם לקטלז את ההידרוליזה של melibiose לגלקטוז ולגלוקוז.
חומרת המחלה והופעת התסמינים תלויים בפעילות השארית של האנזים. צורת המחלה הקלאסית המתגלה בדרך כלל בגיל 4–8 ותוחלת החיים הממוצעת בגברים לא מטופלים היא גיל 40 שנה (Laney וחב' ב-Genet Ned משנת 2017). התסמינים עלולים לכלול משברי כאבים (acroparesthesias) בעיקר בקצות הגפיים, תחושת בערה בכפות הידיים, אנגיוקרטומות באזור המפשעה והטבור, מיעוט או אף חסר בזיעה, התעכרות הקרנית, אי-ספיקה כלייתית העלולה להחמיר עד כדי ESRD, ופגיעה לבבית וקרדיו-וסקולארית.
התאים הפגועים בעיקר הם תאי שריר חלק ותאי אנדותל, מה שגורם לשליטה של סיבוכים וסקולאריים במחלת Fabry (על פי Schiffmann וחב' ב-Phamacol Ther משנת 2009). למרות התאחיזה שלו לכרומוזום X, נשים וגברים עלולים להיפגע מהמחלה (MacDermot וחב' ב-J Inherit Metab Dis משנת 2001, ו-Whybra וחב' באותו כתב-עת ומאותה שנה, Gupta וחב' ב-Medicine משנת 2005 ו-Deegan וחב' ב-J Med Genet משנת 2006). במגדר הזכרי סובלים חולי Fabri מכאבים נוירופתיים (אקרופרסטזיות) כמו גם מנקודות סגולות על שק האשכים (angiokeratoma) וממיעוט או חסר זיעה כבר בגיל הרך. בעשור השלישי והרביעי מופיעים הסיבוכים הכלייתיים, הלבביים והצרבראליים, כאשר גם איבוד שמיעה עלול להתפתח. תסמינים א-טיפיים תוארו בזכרים עם פעילות אנזים שארי גבוהה יחסית, כאשר בזכרים אלה המחלה עשויה להיות מוגבלת לאיבר יחיד כמו הלב, או שתסמיני המחלה מתונים יותר.
למרות פעילות משמעותית של האנזים α-Gal A, נשים נשאיות מראות ספקטרום רחב של חומרת המחלה, החל מהיעדר מוחלט של תסמינים ועד לנזק חמור לאיברים פגועים (Wang וחב' ב-Genet Med משנת 2007, ו-Wedder וחב' ב- J Inherit Metab Dis משנת 2007). הפעילות האנזימטית השארית הנצפית בפלזמה או בתאי דם בנשים נשאיות, משתנה באופן ניכר, מפעילות נורמלית עד לפעילות כמעט חסרה לחלוטין, וקשה לנבא על בסיסה את המהלך הקליני של המחלה (Linthorst וחב' ב-J Am Coll Cardiol משנת 2008). בהיבט אחר, היחס בין פעילות אנזימטית שארית, ההצטברות של Gb3 ותסמיני המחלה בחולי Fabry עדיין מתעתע. לדוגמה, תועד שבזכרים המיזיגוטיים הצטברות ניכרת של Gb3 מופיעה כבר ברחם כאשר תסמינים קליניים ברורים מופיעים רק הרבה יותר מאוחר בחייהם (Popli וחב' ב-Am J Obstet Gynecol משנת 1990, ו-Wedder וחב' ב-J Inhert Metab Dis משנת 2006).
התברר שאין מתאם חד-ערכי בין הביטוי הקליני של מחלת Fabry ורמות Gb3 (על פי Bekri וחב' ב-Cardiovasc Hematol Agents Med Chem משנת 2006). בהמיזיגוטים עם התבטאות קלאסית של מחלת Fabry, רמת Gb3 בפלזמה כבר גבוהה בגיל מאוד צעיר עוד טרם הופעת תסמינים קליניים ברורים, בה בשעה שבהטרוזיגוטים, אפילו בנשים תסמיניות, רמות Gb3 הן בדרך כלל בתחום הנורמה. בהתבסס על נתונים אלה, הניטור של המהלך הקליני בחולי Fabry על ידי אנליזה של רמות Gb3 נחשבת כבעלת ערך נמוך (Young וחב' ב-Acta Pediatr משנת 2005). בשתן של חולי Fabry תסמיניים, הטרוזיגוטים והמיזיגוטים, רמת Gb3 היא בדרך כלל גבוהה באופן בלתי תקין (Whitfield וחב' ב- J Inherit Metab Dis משנת 2005, ו-Auray-Blais וחב' באותו כתב-עת משנת 2007). עם זאת, גם לגבי פרמטר זה לא נמצא מתאם בינו לבין ההתבטאות הקלינית.
הגנטיקה של מחלת Fabry
הגן המקודד לאנזים α-Galactosidase A ממוקם על כרומוזומום Xq22, ומכיל 7 אקסונים (Stratta וחב' ב- Am J Kidney Dis משנת 2008). עד היום תוארו למעלה מ-300 מוטציות (Schirinzi וחב' ב- Mol Genet Metab משנת 2008). כאמור מחלת פברי מורשת בתאחיזה לכרומוזום X. לכן, בהיריון של בן לאישה נשאית יש סיכון של 50% ללידת בן חולה, שיהיה המיזיגוט לגן המוטנטי, ואילו בהיריון של בת יש סיכון של 50% ללידת בת נשאית (הטרוזיגוטית). בניגוד למחלות תורשתיות אחרות המועברות בתאחיזה לכרומוזום X, שבהן הנשים הנשאיות בדרך כלל אינן תסמיניות, במחלת Fabry נשים הנושאות מוטציות בגן ל-A α-Galactosidase יהפכו עם הזמן תסמיניות בדרגות שונות של חומרה (Hughes ב- Acta Paediatr משנת 2008). כמו כן, בגלל ההורשה בתאחיזה לכרומוזום-X, בנותיו של גבר חולה Fabry תהיינה תמיד בהכרח נשאיות, ואילו כל בניו יהיו בריאים. לא ברורה עדיין הסיבה להופעת המחלה בנשים, וההשערה היא שמקורה בתהליך המוגדר כאינאקטיבציה של ה-X, אך כאן אין הסכמה כללית (Mayer וחב' ב- Acta Paediatr משנת 2006, ו-Ropers וחב' ב-Am J Hum Genet משנת 1977).
מחקרים השוואתיים של רמות lysoGb3 בצורות המחלה השונות
היחס האניגמטי בין הפעילות השארית של α-Galactosidase A לבין רמת Gb3 לבין תסמיני המחלה, הביאה למחשבה שמא קיים גורם נוסף בפתוגנזה של מחלת Fabry. באנלוגיה למחלת Krabbe, נוכחות של ליפיד שעבר דה-אצילציה הובאה בחשבון. אכן, globotriaosylsphingosine (או lysoG3) נמצא מוגבר באופן דרמטי בפלזמה של כל הזכרים עם מחלת Fabry קלאסית (Aerts וחב' ב-Proc Natl Acad Sci USA משנת 2008). רמות lysoGb3 היו גם מוגברות בפלזמה של נשים תסמיניות, אם כי לרמה נמוכה יותר מאשר הרמה של האחרון בגברים. ממצאים ברי-השוואה נמצאו גם בעכברים החסרים פעילות α-Galactosidase A. בשנת 2010 פרסמו Rombach וחב' ב-Biochim biophys Acta את תוצאות מחקרם על רמות lysoGb3 והמתאם בינו לבין התסמינים של מחלת Fabry.
חוקרים אלה בחנו 92 חולי Fabry מתוכם 69 מבוגרים ו-23 ילדים מ-28 משפחות עם מחלה קלאסית. כל הזכרים והנשים הבוגרות עם מחלה קלאסית, יכלו להיות מאובחנים על ידי רמת lysoGb3 מוגברת. בנבדקים צעירים הטרוזיגוטים קדם-תסמיניים, רמת lysoGb3 יכולה להיות נורמאלית. בנבדקים הנושאים את המוטציות R112H ו-P60L, ללא תסמינים קלאסיים של Fabry, לא נמצאה בפלזמה רמה מוגברת של lysoGb3. אנליזה סטטיסטית הראתה שאין מתאם בין רמות lysoGb3 בפלזמה ודרגת החומרה של המחלה בזכרים עם Fabry. לעומת זאת, רמת lysoGb3 בפלזמה הייתה במתאם עם הנגעים בחומר הלבן המוחי שהסיכון להופעתם עלה פי-6.1 עם כל עליה של 100 ננומולר ברמת lysoGb3 (p=0.015). בנשים, רמת lysoGb3 כן הייתה במתאם עם חומרת המחלה. יתרה מכך, רמת lysoGb3 בפלזמה, הייתה כרוכה בעליה במסה של החדר השמאלי ב-19.5±5.5 גרם על כל עלייה של 10 ננומולר ברמת lysoGb3, (p=0.001). בנוסף, נבדקה האפשרות שחשיפה במשך החיים ל-lysoGb3, נמצאת במתאם עם תסמיני המחלה. זכרים עם מחלת Fabry עם חשיפה גבוהה ל-lysoGb3, היו בעלי תסמינים מתונים או חמורים. אחוז גבוה מבין הנשים עם חשיפה ל-lysoGb3, הראה סיבוכים של המחלה. מסקנת חוקרים אלה היא שרמת lysoGb3 בפלזמה היא מדד שימושי לאבחון מחלת Fabry. כמו כן lysoGb3 הוא גורם סיכון בלתי תלוי להופעת נגעים צרברו-וסקולאריים בחומר הלבן בזכרים, ולהופעת היפרטרופיה חדרית בנשים.
גם Nowak וחב' מציריך וינה וניו-יורק דווחו בשנת 2017 ב-Mol Genet Metab על כך שמדידת lysoGb3 בנסיוב בשיטת electrospray ionization LC tandem MS המאוד רגישה, מצאה בקרב 18 נשים הטרוזיגוטיות למחלת Fabry, 3 נשים עם lysoGb3 מוגברת בעוד שפעילות האנזים α-Gal A בלויקוציטים שלהם הייתה בגבול הנורמה.
בשנת 2017 פרסמו Talbot וחב' ב-Mol Genet Metab את מחקרם על שימוש בשיטת liquid chromatography-electrospray ionization-tandem Mass Spectrometry או LC-ESI-MS/MS, לכימות lysoGb3 בפלזמה, שיטה המצטיירת כרגישה ביותר לגילוי מטבוליט זה. השיטה מאפשרת כימות lysoGb3 בדגימה של 10 מיקרוליטר של פלזמה שעוברת הליך של מיצוי ליפידים עם 0.2 מ"ל של CHCl3:CH3OH ביחס של 2:1, והיא נוסתה עם דגימות של 73 אוסטרלים חולי Fabry, כמו גם בדגימות של נבדקים עם sphingolipidoses אחרים. ב-2000 נבדקים ללא Fabry, אך עם תרחישים מטבוליים תורשתיים אחרים, נמצאה בשיטת הכימות האמורה רמת lysoGb3 הנמוכה מ-5 ננומול/ליטר. ב-90 נבדקים עם מחלות ליזוזומאליות (דוגמת מחלת Gaucher, מחלת Krabbe, מחלת Niemann-Pick, מחלת GM1/GM2 gangliosidosis, מחלת Pompe, תרחיש של metachromatic leukodystrophy, ומוקופוליסכרידוזיס מהסוגים I,II, III, IVA ו-VI), רמת lysoGb3 נמצאה גם היא פחותה מ-5 ננומול/ליטר. ב-22 גברים עם מחלת Fabry קלאסית נמדדה רמת lysoGb3 ממוצעת של 30 ננומול/ליטר, וב-4 נבדקים עם מחלת Fabry לא קלאסית בגברים רמת lysoGb3 הממוצעת נקבעה כ-5 ננומול/ליטר. במחלת Fabry קלאסית בנשים רמת אנאליט זה נקבעה כ-10 ננומול/ליטר ואילו במחלת Fabry לא קלאסית בנשים נמצאה רמה ממוצעת של פחות מ-5 ננומול/ליטר. עם זאת אין ראיות לכך ש-lysoGb3 יכול לשמש מדד חד-ערכי של אירועים קליניים במחלת Fabry.
רמת lysoGb3 כמדד לואריאנט הלבבי (N215S) של מחלת Fabry
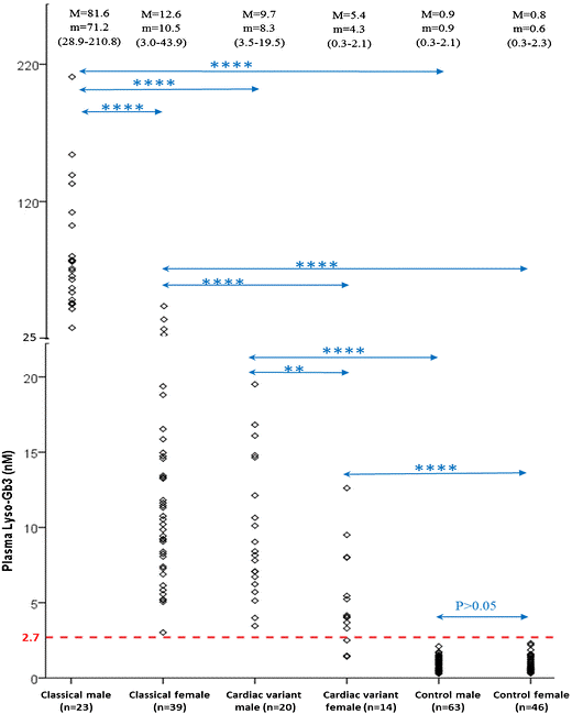
המוטציה N215S היא ואריאנט ידוע של מחלת Fabry המאופיין על ידי פנוטיפ קרדיאלי המופיע מאוחר יותר בחיים. קיים קונצנזוס באשר לאמינות של lysoGb3כסמן אבחוני של מחלת Fabry, אך השימוש בסמן זה במקרים של הואריאנט הלבבי לא היה ברור מאליו. Alharbi וחב' פרסמו ב-J Inherit Metam Dis משנת 2018 את תוצאות מחקרם לבחינת רמות lysoGb3 בפלזמה ובשתן, ב-34 מטופלים עם הואריאנט הלבבי הנושאים את המוטציה N215S, כמו גם ב-62 מטופלים עם הצורה הקלאסית של המחלה, וכן ב-109 אנשים בריאים כביקורת. רמות lysoGb3 בפלזמה ובשתן נמדדו בשיטת LC-MS/MS. בגברים ובנשים עם מוטציית N215S, נמדדו רמות של lysoGb3 של 9.7±1.0 ננומול/ליטר בפלזמה, ושל 5.4±0.8 ננומול/ליטר בשתן. רמות אלה היו גבוהות משמעותית מאלה שנמדדו באנשים בריאים, אך נמוכות מהרמות שנמצאו בחולים במחלה הקלאסית (p<0.0001). רמות lysoGb3 בפלזמה שהיו שוות או גבוהות מרמה של 2.7 ננומול/ליטר, הניבו רגישות וספציפיות אבחונית של 100% (p<0.0001). מעורבות לבבית הייתה שכיחה ב-16 מתוך 34 הנבדקים עם המוטציה האמורה (47%) עם הופעה של היפרטרופיה של החדר השמאלי. בשלושה מהנבדקים בהם בוצעה ביופסיה כלייתית, נמצאה אופיינית של הספינגוליפיד בפודוציטים, ואילו ב-6 מתוך 19 מהנבדקים (32%) נמצאו שינויים בחומר הלבן או אוטם במוח בהדמיית MRI. נמצא אם כן שרמות LysoGb3 בפלזמה או בשתן יכולות לשמש להבדיל בין פנוטיפ הואריאנט של N215S לבין נבדקים ללא מחלת Fabry (תרשימים למטה).
השוואה בין פעילות האנזים המוטנטי α-galactosidase A לבין ריכוזי lysoGb3 בפלזמה של מחלת Fabry
Tsukimura וחב' פרסמו בשנת 2014 ב-Mol Genet Metab Rep את תוצאות מחקרם על מוטציות שונות של האנזים α-Gal A במחלת Fabry. לצורך זאת, מדדו החוקרים את פעילות האנזים וכן את רמת lysoGb3 בדגימות פלזמה של הלוקים במחלה. האנליזה הראתה שהן פעילות האנזים והמסה שלו היו מופחתים ברבים מחולי Fabry, אם כתוצאה מסינתזה לקויה של האנזים או כתוצאה מפירוק יתר שלו. עם זאת נמצאו מספר יוצאים מהכלל במקרים של 3 מוטציות בגן המקודד לאנזים, ואלו הן המוטציות C142Y, R112H ו-M261I. בנושאי מוטציות אלו, נמצאה כמות משמעותית של מסת החלבון האנזימטי, ואכן בנושאי מוטציות אלו רמת lysoGb3 בפלזמה היו כמעט בתחום הנורמה.
כימות של lysoGb3 בפלזמה ושתן של חולי Fabry בשיטת UPLC-ESI-MS/MS
Gold וחב' עשו שימוש בשיטת ultra-performance liquid chromatography-electrospray ionization-tandem mass spectrometry, לכימות lysoGb3. בשיטת מדידה זו נמצאה רמה ממוצעת של lysoGb3 בפלזמה של 10 המיזיגוטים עם צורת המחלה הקלאסית שנקבעה כ-94.4 ננומול/ליטר, ב-10 הטרוזיגוטים למחלה הקלאסית נקבעה רמה ממוצעת של 9.6 ננומול/ליטר, וב-20 נבדקים בריאים הרמה נקבעה כ-0.4 ננומול/ליטר, בממוצע (תמונה למטה). הרמה בשתן של lysoGb3 הייתה פי 40–480 נמוכה יותר מהרמה בדם.
טיפול
פותחו שתי תרופות שהן למעשה צורות רקומביננטיות של האנזים האנושי A α-galactosidase לטיפול במחלה על ידי מתן אנזים חלופי בעירוי אחת לשבועיים. חברת Shire פיתחה את התכשיר agalsidase α (שם מותג Replagel), שקיבל את האישור לשיווק במדינות ה-EU בשנת 2001. חברת Genzyme פיתחה את התכשירagalsidase β (שם מותג Fabrazyme), שקיבל אישור שיווק הן מה-FDA, והן מהרשות האירופאית EMA. בעוד ש-Fabrazyme מיוצר בתאי Chinese Hamster Ovary ומינונו 1 מ"ג/ק"ג משקל גוף, Replagel המיוצר בפיברובלסטים אנושיים ניתן במינון של 0.2 מ"ג/ק"ג משקל גוף, שניהם כאמור אחת לשבועיים. שני התכשירים הרקומביננטים הם בעלי רצף חומצות אמינו זהה לזה של האנזים הטבעי, ונבדלים ביניהם במבנה של השרשרות הצדדיות האוליגו-סכרידיות.
קביעת פעילות האנזים α-Gal A בטיפות דם מיובשות
טיפות דם מדם ורידי שהוספגו על נייר גאטרי ויובשו תוך הגנה מפני חשיפה לאור בטמפרטורת החדר למשך 4 שעות. כל טיפת דם הכילה 75 מיקרוליטר של דגימת הדם. החלבון מוצה מתוך דיסקיות בקוטר של 3 מ"מ שהוצאו על ידי puncher אוטומטי, ועבר הדגרה בטמפרטורה של 37 מעלות צלזיוס עם 4-methylumbelliferyl-α-D-galactopyranoside המהווה מצע לאנזים. לתערובת הראקציה הוסף הסוכר N-acetyl-galactosamine על מנת לעכב את פעילות האנזים α-galactosidase B, העלול לדכא את פעילות α-galactosidase A. תוצר הראקציה האנזימטית שלα-GAL A הוא החומר הפלואורסצנטי 4-methylumbelliferone, שניתן לכמת בעזרת plate reader פלואורסצנטי ((BioTek, עם אקסיטציה באורך גל של 360 ננומטר, ואמיסיה באורך גל של 460 ננומטר. כל דגימה נמדדה בדופליקטים. ה-quality control של ה-assay היה מורכב משימוש במַאֲגָר של תוצאות בחינת הפעילות האנזימטית בטיפות מיובשות של אנשים בריאים, וגם בטיפת דם של חולה הואריאנט הקלאסי של מחלת Fabry עם המוטציה p.E66Q. על פי נתוני מעבדות Mayo Clinic פעילות α-GAL A נמוכה מ-1.2 nmol/mL/hour בגברים, או נמוכה מ-2.8 nmol/mL/hour בנשים נחשבת אבחונית למחלת Fabry.
הוראות לביצוע הבדיקה
בדם: הנבדק צריך להיות בצום 8–12 שעות. יש לדגום דם למבחנה כימית רגילה (פקק אדום או צהוב). הדגימה יציבה בקירור 24 שעות, וכדוגמה קפואה 90 יום. לא תתקבל בדיקה בטמפרטורת החדר. יש לדחות דגימות עם ליפמיה גבוהה, אך ניתן לקבל דגימות עם ליפמיה מתונה. ניתן לקבל דגימות מאוד המוליטיות או מאוד איקטריות. שיטת המדידה המקובלת היא על ידי Liquid Chromatography-Tandem Mass Spectrometry (LC-MS/MS).
בעבר, היו מודדים בפלזמה או בשתן את הרמות של globotriaosylceramide לסייע באבחון המחלה, אלא שאנליזה זו היא רבת-שלבים ומייגעת (Aerts וחב' ב-Proc Natl Acad Sci USA משנת 2008). שיטת המדידה הקלה יותר לביצוע היא בקביעת רמת LysoGb3 שהוא תוצר דה-אצטילציה של Gb3, שיטה המבדילה בנקל בין צורת המחלה הקלאסית לבין 2 צורות המחלה המאוחרות, הכלייתית והלבבית (Smid וחב' ב-J Med Genet משנת 2015, ו-Niemann וחב' ב-Circ Cardiovasc Genet משנת 2014).
הערה: מדידת lysoGb3 לצורך גילוי של נשאי המחלה אינה אמינה. חולים אחדים עם מחלת Fabry, או אלה עם פסבדו-חסר של פעילות האנזים α-galactosidase A, יכולים להימצא עם רמות תקינות של lysoGb3.
ראו גם
- חזרה לדף מדריך בדיקות מעבדה
- בדיקות מעבדה - אבחון מחלות אגירה
- בדיקות מעבדה - אבחון מחלות ומפגעים מטבוליים-גנטיים
המידע שבדף זה נכתב על ידי פרופ' בן-עמי סלע, המכון לכימיה פתולוגית, מרכז רפואי שיבא, תל-שומר;
החוג לגנטיקה מולקולארית וביוכימיה, פקולטה לרפואה, אוניברסיטת תל-אביב (יוצר הערך)

כניסה
עקבו אחרינו בפייסבוק 




